2. 深圳大学建筑与城市规划学院城市空间信息工程系, 广东 深圳 518060;
3. 人工智能与数字经济广东省实验室(深圳), 广东 深圳 518060;
4. 广东省城市空间信息工程重点实验室, 广东 深圳 518060;
5. 自然资源部大湾区地理环境监测重点实验室, 广东 深圳 518060;
6. 闽江学院软件学院, 福建 福州 350108
2. Department of Urban Informatics, School of Architecture and Urban Planning, Shenzhen University, Shenzhen 518060, China;
3. Guangdong Laboratory of Artificial Intelligence and Digital Economy(SZ), Shenzhen University, Shenzhen 518060, China;
4. Guangdong Key Laboratory of Urban Informatics, Shenzhen University, Shenzhen 518060, China;
5. Key Laboratory for Geo-Environmental Monitoring of Great Bay Area, MNR, Shenzhen 518060, China;
6. Software College, Minjiang University, Fuzhou 350108, China
交通运输是能源消耗和碳排放的主要来源之一[1],推行节能减排已成为当下的国际共识[2]。作为城市公共交通的重要组成部分,低排放、高效能的电动出租车日渐受到关注。随着移动互联网和人工智能的蓬勃发展[3],网约车革新了传统出租车运营方式[4]。智能网联的电动出租车有望提供更加高效、节能的出行服务[5-8],缓解交通拥堵、减少碳排放[9-10]。许多城市和地区已经制定或实施了出租车电动化方案:英国伦敦将于2020年实现9000辆插电混合动力出租车上路运营的目标[11];深圳市于2019年成为世界首个公交车、出租车基本完成电动化的城市。
与传统燃油出租车相比,电动出租车在充电过程中需耗费0.5~12 h,有效运营时间减少,影响司机收入,不利于大规模推广。为减少充电过程对出租车司机有效运营时间对收入的影响,国内外学者已开展相关研究,主要分为3类。第1类方法是充电设施空间优化布局。文献[12]建模出行时空需求、电动出租车与充电站交互过程,以最大化充电站和出租车的服务能力、减少电动出租车的充电等待时间为目标,提出了充电站选址优化模型。然而,充电设施改善需要较长时间。司机的充电决策不仅取决于充电站的分布,也受到司机主观意识影响。第2类研究关注充电设施负载平衡调度策略。文献[13]采用分散控制策略均衡高峰-峡谷用电时间上的充电需求,降低排队等待时间。文献[14]建立了一个基于预约的调度系统以分配充电请求,减少电动汽车司机在充电站的等待时间。第3类研究为出租车司机充电方案推荐优化。文献[15]通过挖掘电动出租车的历史充电事件,建立实时充电站推荐系统,使得充电等待时间降低50%。文献[16]利用大规模出租车GPS轨迹数据提出电动出租车实时路径推荐系统,使得司机收入高于76.2%的汽油出租车司机。
上述方法着眼于充电需求-充电设施供应,没有考虑司机其他行为(如:载客、充电)对司机收益的影响。例如出租车司机充电时错过产生订单的高峰期,导致后续较低的运营收益。同时,上述研究主要针对电动出租车当时的状态进行决策,没有考虑决策之后产生的影响:当出租车载客后,下车点可能是一个乘客稀少的区域,进而导致了潜在的空载返程成本。在长时间运营过程上,司机的连续决策构成一个长时间的序列,只考虑当前状态的决策通常不是全局最优。为了优化整个决策序列,需综合考虑每个决策对全局的影响。
强化学习(reinforcement learning)[17]是基于马尔可夫决策过程(Markov decision process,MDP)建立决策模型,在与环境的交互过程中学习经验,优化决策的一种机器学习方法。强化学习适用于连续决策过程,在博弈游戏[18]和机器人自学习[19]等领域表现优异。针对燃油出租车,文献[20]利用强化学习估计出租车司机在不同位置的最优选择,利用北京的历史轨迹数据进行试验,表明该方法能有效提高司机利润。其他基于强化学习的出租车司机策略推荐研究[21-22]也证实了强化学习在出租车行为决策优化的良好性能。但上述研究多针对传统燃油出租车,尚未考虑电动出租车的复杂的载客、充电、空驶和等待过程。
本文面向电动出租车复杂运营过程,构建适应电动出租车的复杂运营特性的MDP框架,提出优化电动出租车运营决策的双深度Q学习网络(double deep Q-learning network,DDQN),为电动出租车推荐长期价值最大化的策略,优化电动出租车运营。研究框架如图 1所示,包含数据预处理、DDQN模型训练和在线测试3个部分。本框架可用于传统、网约或自动驾驶电动出租车的运营决策优化,促进电动出租车的推广,实现更加高效、节能和环保的出行。
|
| 图 1 基于深度强化学习的电动出租车运营优化 Fig. 1 Deep reinforcement learning based electric taxi service optimization |
1 基于深度强化学习算法的电动出租车运营优化 1.1 电动出租车运营优化
本文基于马尔可夫决策过程,构建深度强化学习模型,估计不同决策行为(包括载客、充电、空驶和原地等待)对电动出租车运营的长期影响,寻找司机收益最大化的决策行为,如图 2所示。马尔可夫决策过程可对系统连续决策中的不确定性进行建模,广泛应用于序列化决策优化问题。MDP由状态s、动作a、状态转移T和奖励r,4个基本元素组成。本文采用MDP描述出租车的运营过程。首先,将电动出租车的状态定义为s=[t lt bt ot],其中,t表示时间,lt和bt分别为所处位置与电量,ot为载客所获得的收入。可供电动出租车选择的动作集合为a∈{p, c, e, w},其中p表示前往乘客出发点进行载客;c代表选择附近某个充电站进行充电;e和w分别为选择空驶巡航和原地等待乘客。
|
| 图 2 电动出租车运营决策 Fig. 2 Decision for electric taxi drivers |
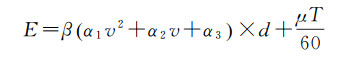
时刻t下,给定任意一辆位于位置lt并具有电量bt的电动出租车,可从4个可能的动作中进行选择,如图 2所示:①载客,如有分配到订单,从位置lt前往载客点后进行载客,行驶至落客点lt+1;②充电,出租车前往充电站充电,充电前可能需要排队等待;③空驶,前往附近的任一地点lt+1;④原地等待,出租车执行动作的电量消耗E包括行驶耗电和附加耗电,与其行驶速度v、距离d与时长T相关
(1)
式中,β表征驾驶习惯对电量消耗的影响,附加耗电系数μ与当地温度相关,相关参数取值与文献[23]一致。
电动出租车运营决策过程即是根据其所处状态s=[t lt bt ot],选择最优的动作at。相应地,状态发生转移T={st→st+1},演变为下一个状态st+1=[t+1 lt+1 bt+1 ot+1]。
根据电动出租车运营过程中的收入和损失,本文设置奖励函数为出租车执行相应动作产生的收益。如表 1所示,每种动作具有相应的奖励函数r。
| 动作a | 奖励函数r |
| 载客p | rod-TOC |
| 充电c | -Pelec-TcC |
| 空驶e | -TeC |
| 等待w | -TwC |
表 1中, C是t时刻出租车在l地点的单位时间期望载客收益,本文用其代表出租车未载客时的损失,可根据历史出行数据计算得到。t时刻,位于l地点的出租车选择载客动作p,奖励值为满足相应出行需求的收入rod与前往载客点时长TO内的损失之和;选择进行充电c的奖励值等于充电收费Pelec与该动作耗时Tc内的预期损失之和;空驶e和原地等待w所获得的奖励则分别与执行当次动作所产生的空驶时长Te和等待时长Tw负相关。
本研究采用累积衰减函数定义电动出租车决策带来的奖励。对于一辆电动出租车一段时间内的连续决策和状态转移过程,其一系列的状态、动作和奖励可表示为状态序列[st st+1 st+2…sT]、动作序列[at at+1 at+2…aT]和相应的奖励序列[rt rt+1 rt+2…rT]后,其在状态st下执行动作at可获得的未来回报ℝt定义为
(2)
式中,折扣因子λ代表模型对于后续发生的奖励值的重视程度,会对未来的奖励进行不同程度的衰减。
正式地,本文问题可以定义为:给定任意一辆电动出租车的状态s,寻找具有最大未来回报ℝ的动作a。本文引入深度强化学习,对电动出租车不同决策带来的奖励进行学习和估计,顾及每个决策对全局的影响,进而得到最大化ℝ的动作。
1.2 深度强化学习强化学习是机器学习的重要分支,其特点是无需提前给定解决问题的策略,根据环境采取行动,通过在线自学习获得策略的改进[24]。强化学习包括智能体、环境、动作、状态、奖励等要素,如图 3所示,智能体根据自身的状态st,选择执行相应的动作at,并改变自身状态。与此同时,智能体所处环境会对动作的优劣作出正面或负面的评价,即奖励rt。强化学习的核心是试错(trial-and-error),智能体在执行动作后环境所给予的正向或负向奖励的刺激下,逐步形成对奖励的预期,产生能获得最大收益的最优行为策略[17]。在图 3的循环过程中,智能体不断进行在线自学习,最终其选择的动作应当使得奖励值不断增长。
|
| 图 3 强化学习模型 Fig. 3 The reinforcement learning model |
强化学习算法的自学习过程通过计算状态、动作和奖励三要素,并迭代更新目标函数完成,直至目标函数收敛完成自学习过程,以达到最优控制。为实现未来收益最大化,电动出租车运营的目标函数,即最优动作-价值Q函数如下
(3)
式(3)表示Q函数在状态s下选择回报值Rt最大的动作a,其中φ代表出租车运营的策略,
(4)
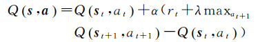
基于式(4),可采用Q-learning算法[26],使用时序差分[27](temporal-difference learning)迭代计算不同状态下执行相应动作的Q函数,进行目标函数更新。利用下一时刻的Q函数值Q(st+1, at+1)计算时序差分目标Y=rt+λmaxat+1Q(st+1), at+1,通过缩小当前Q函数值Qst, at与Y之间的差距,使其渐进收敛到目标值。其中,Q函数的迭代更新公式如下
(5)
式中,α为学习率,控制算法学习迭代的速度。式(5)通过逼近时序差分目标Y=rt+λmaxat+1Q(st+1, at+1)的方法对Q值进行迭代更新。与监督学习不同,强化学习无须提供有标签数据进行训练,而是将Y作为“标签”,通过不断逼近Y使得Q函数最终收敛。此特性即为强化学习的自学习特征。
传统Q-learning算法使用查找表存储Q函数值,不适用于连续状态和行为空间,在较大离散空间下需要极大的计算资源。针对电动出租车营运的复杂特性,本文使用深度神经网络Q(s, a; θ)对Q函数进行近似,称为深度Q网络(deep Q-learning network,DQN),其中θ表示神经网络参数[18]。深度Q网络的参数随着训练过程不断更新,使得神经网络逼近的目标,即深度Q网络计算得到的时序差分目标Y不断变动,不利于Y收敛。为使Y保持相对稳定,本文建立双深度Q网络[28](DDQN)模型进行训练
(6)
DDQN模型包含两个神经网络:估值神经网络DQN1和目标神经网络DQN2。估值神经网络DQN1用于选择下个时刻的最佳动作at+1=argmaxat+1Q(st+1, at+1θ1),使得st+1所对应的Q值最大,其参数θ1不断更新。目标神经网络DQN2用于评估所选取的下一时刻动作at+1的价值Q(st+1, at+1; θ2),得到时序差分目标Y=rt+λQ(st+1, at+1; θ2),其参数θ2在间隔时间τ后更新参数θ2=θ1,使得Y在时间τ内保持稳定。通过双深度Q网络,实现动作选择与动作价值评估的分离,保持一段时间内神经网络收敛目标Y的稳定,模型训练过程更加快速且易收敛。
基于DDQN模型,定义神经网络损失函数L(θ)如下,并采用小批量梯度下降法在每次迭代中更新神经网络参数[18]
(7)
基于上述DDQN模型学习电动出租车运营的动作-价值网络,进行电动出租车运营决策。如图 4所示,初始化神经网络与经验存储队列后,通过不断递增时间步t, DDQN模型将不同涌现的出行需求分配至距离乘客最近的车辆。出租车利用训练后的动作-价值网络判断是否可以接受该次出行请求,或者随机性进行决策。如果10 min内未有车辆接单,则该次出行未被满足。
|
| 图 4 基于双深度Q学习网络的电动出租车运营优化自学习算法 Fig. 4 Double deep Q-learning network based self-learning for the electric taxi operation |
为避免陷入局部最优,本文通过ε-贪婪策略选择动作对环境进行探索,即以1-ε的概率选择Q值最大的动作,以ε的概率随机选取动作,并得到相应的奖励rt,车辆状态转换到下一个时刻的st+1。ε值越大,随机性越强。为加速探索过程,本文设置较大的ε初值,并随着训练次数增加而减少ε,确保在训练后期动作选择的确定性。公式如下
(8)
式中,P0和P1分别为初始和结束的探索概率;参数k控制ε递减的速率;n为训练次数。为减少训练样本间的关联性,避免模型只关注近期产生的样本,本文采用经验回放(experience replay)机制,将上述样本[st at rt st+1]保存到定长的经验存储队列中[29],从中随机选择小批量的样本作为神经网络的输入进行训练,从而使得训练样本近似达到独立分布,提高神经网络训练的稳定性。
2 试验与分析 2.1 研究区域与试验数据研究区域为美国纽约市曼哈顿岛,如图 5所示。曼哈顿岛人口密度高,出租车出行需求巨大。全面推广电动出租车能够减少该地区化石能源消耗和温室气体排放[30]。
|
| 图 5 曼哈顿的充电站分布 Fig. 5 The distribution of charging stations in Manhattan |
本文使用纽约市计程车委员会(Taxi and Limousine Commission)所收集的出租车出行数据(origin destination,OD),模拟真实的出行需求,将其用于模型训练与测试。该数据包括载、落客时间与地点、出行距离和收费等字段,无出租车ID字段,如表 2所示。出租车出行数据覆盖2016年5月2日至13日中的10个工作日,利用5月2日—5月6日的数据进行DDQN训练,5月9日—5月13日的数据进行测试。充电站分布采用美国能源部公布的最新的充电站数据,由于曼哈顿岛上城区暂无充电站,为了模拟提供全岛的电动出租车服务,在该区域适当人工增设若干充电站,最终共包含了258个充电站,如图 5所示。
| 载客时间 | 落客时间 | 出行距离/km | 收费/$ | 上车点ID | 下车点ID |
| 07:00 | 07:06 | 2.69 | 10.55 | 5724 | 4262 |
| 08:10 | 08:13 | 1.45 | 6.8 | 803 | 1614 |
| 17:15 | 17:20 | 2.25 | 9.73 | 2149 | 3726 |
2.2 试验参数设置
本文试验中的电动出租车的车辆参数如下:电池容量60 kWh,续航里程364 km。参考曼哈顿地区的出租车保有量,电动出租车的初始数量设置为6000辆。充电站内充电桩的充电功率设定为40 kW,充电量随着充电时长线性增加。为了模拟出租车司机充电决策的随机性,设定出租车充电电量超过一定数值后随机结束充电,本文设定该数值为80%。电动出租车在k-近邻的充电站中选择充电等待时长最短的充电站进行充电。
DDQN模型超参数包括折扣因子λ、学习速率α、双神经网络更新时间τ和小批量训练样本数n。通过反复试验,进行参数调优,最后选择参数λ=0.9、α=0.002、τ=6000、n=64。
为了验证算法性能,本文设计了距离优先和时间优先两种策略进行比较。距离优先策略下电动出租车前往距离最近的充电站进行充电。时间优先策略下电动出租车前往等待时间最短的充电站进行充电。
2.3 试验结果与分析 2.3.1 DDQN结果分析采用上述参数,进行DDQN模型训练,模型训练损失变化如图 6所示。随着训练时长的增加,模型损失波动较大,但整体呈现下降的趋势,最终收敛于1000左右,模型训练完成。
|
| 图 6 损失函数变化 Fig. 6 Change of the cost function |
进行DDQN模型测试,分析电动出租车运营优化结果,如表 3第1行所示。试验结果表明,基于DDQN的电动出租车运营辅助下,电动出租车平均每天载客9.76 h,行驶138.31 km,获得收入595.10$。每辆电动出租车平均每天充电1.44 h,需等待1.00 h;花费9.43 h进行空驶寻客,并在出行需求较多的地区原地等待乘客,日均时长达到2.37 h。
| 策略 | 载客 | 充电 | 空驶 | 原地等待时长/h | ||||||
| 收入/$ | 里程/km | 时长/h | 时长/h | 等待时长/h | 里程/km | 时长/h | ||||
| DDQN | 595.10 | 138.31 | 9.76 | 1.44 | 1.00 | 168.96 | 9.43 | 2.37 | ||
| 时间优先 | 574.97 | 131.97 | 9.41 | 1.69 | 1.26 | 180.79 | 11.64 | 0 | ||
| 距离优先 | 557.99 | 128.41 | 9.09 | 1.39 | 3.08 | 177.93 | 10.44 | 0 | ||
图 7进一步给出了基于DDQN推荐优化策略的电动出租车运营优化结果分布。在DDQN的优化下,95%的电动出租车日均收入高于200$,平均值595.10$,部分电动出租车日均收入超过1000$。载客里程和空驶里程也具有类似分布。绝大部分电动出租车平均每天需进行1—2次的充电。整体上看,充电时长有两个高峰,分别为1.3 h和1.9 h。DDQN模型能够很好地平衡载客、充电、等待和空驶过程。图 7(e)显示超过50%的出租车充电等待时长为0,使得平均充电等待时长大幅下降。DDQN模型还能减少无意义的空驶,在部分出行需求较少区域让电动出租车进行等待,部分车辆的日均等待时间超过2 h,如图 7(f)所示。
|
| 图 7 基于DDQN的电动出租车日平均运营结果统计 Fig. 7 Statistic of the DDQN driven electric taxi's operation results |
图 8给出出租车出行记录、出行拒载率和充电等待时间分布。可以发现:曼哈顿出租车出行需求集中在中城和下城。基于DDQN推荐优化策略,约有3.66%出行需求未被电动出租车满足,绝大部分的区域内的拒载率低于5%,在曼哈顿岛中部3个区域内拒载率较高。图 8(c)表明在上城区、中城区北部,下城区南部出行充电等待时间较长,DDQN优化策略倾向于在出行需求较多的地区减少充电时长、增加载客里程,在需求较少的区域则选择充电,避免空载。
|
| 图 8 电动出租车运营结果的空间分布 Fig. 8 Spatial distribution of the electric taxi's operation results |
2.3.2 结果对比
表 3比较了DDQN模型结果与距离优先和时间优先策略。DDQN的优化策略效果更好。距离优先和时间优先策略的总拒载率分别为7.71%和5.87%,DDQN模型的总拒载率为3.66%,较两种简单策略分别降低53%和38%。DDQN模型下的电动出租车日均载客收入更高,达到595.10$,分别较距离优先、时间优先策略高6.65%和3.50%。表 3中DDQN的平均载客里程和时长较高,与收入相符,表明DDQN的优化策略更加高效。DDQN综合考虑出租车所处时空位置、电量灵活进行载客-空驶-等待-充电决策,能够有效实现充电站之间的负载均衡,避免电动出租车在某些时刻集中选择某一充电站,充电等待时长(1 h)分别为距离优先策略(3.08 h)和时间优先策略(1.26 h)的30%和79%。时间优先策略在充电时选择附近等待时间最短的充电站,使其充电等待时长较距离优先策略大幅下降,与DDQN接近。但时间优先策略未能将节省的时间充分用于载客,而是进行充电和空驶,因而与DDQN的载客收入仍存在较大差距。经过训练后,DDQN则智能地选择原地等待,日均等待时长达到2.37 h,避免出租车盲目空驶,减少空驶里程。
2.3.3 参数敏感性分析图 9进一步测试车辆电池容量、充电速率和电动出租车总体数量的影响,测试DDQN模型的稳定性。
|
| 图 9 参数敏感性分析 Fig. 9 Parameter sensitivity analysis |
电动汽车的电池容量与其续驶里程线性正相关。随着电动容量增加,电动出租车可以满足更多的出行需求,日均收入小幅度增加。当电池容量从60 kWh进一步提升至80 kWh时,出租车运营收益并未得到明显增加。
充电速率越高,充电时间越短。随着充电速率的提高,电动出租车运营不断优化,出行需求拒载率逐步降低。如图 9(b)所示,从20 kW慢充提升至40 kW的快充时出租车运营表现提升较大。当充电速率进一步提高至120 kW时,电动出租车能够满足97.5%的出行需求,获得最高602$的日均收入,达到最佳运营表现。建设更多的高速充电站对推广电动出租车意义重大。
图 9(c)给出了不同数量的电动出租车的运营结果。随着车辆数量从4000辆增加到10 000辆,电动出租车服务更加充分,出行需求的总拒载率从16%下降到0.3%;但是,更多的出租车造成竞争加剧,电动出租车的平均收入出现下降,日均收入逐渐降低。10 000辆电动出租车的日均收入约为350.5$。
3 结论针对电动出租车充电时间长、有效运营时间短等问题,本文基于深度强化学习对出租车运营决策过程进行建模,构建DDQN模型进行复杂的载客、空驶、等待、充电决策,最大化电动出租车司机未来收益,减少司机的充电等待时长。试验结果表明,DDQN高效的充电与空载策略能够有效协调载客、空驶、等待、充电决策,日均收入较距离优先策略提高收入约7%,拒载比例降低53%,充电等待时长减少70%。本文算法适用于自动驾驶出租车、电动货车等,能够促进电动出租车的广泛应用,有利于构建环保、节能与智能的交通出行。后续开展的研究将拓展研究区域,考虑城市出租车出行的时空规律,进一步提升模型性能。
| [1] |
施晓清, 李笑诺, 杨建新. 低碳交通电动汽车碳减排潜力及其影响因素分析[J]. 环境科学, 2013, 34(1): 385-394. SHI Xiaoqing, LI Xiaonuo, YANG Jianxin. Research on carbon reduction potential of electric vehicles for low-carbon transportation and its influencing factors[J]. Chinese Journal of Environmental Science, 2013, 34(1): 385-394. |
| [2] |
高云. 巴黎气候变化大会后中国的气候变化应对形势[J]. 气候变化研究进展, 2017, 13(1): 89-94. GAO Yun. China's response to climate change issues after Paris_Climate Change Conference[J]. Climate Change Research, 2017, 13(1): 89-94. |
| [3] |
李德仁. 展望大数据时代的地球空间信息学[J]. 测绘学报, 2016, 45(4): 379-384. LI Deren. Towards geo-spatial information science in big data era[J]. Acta Geodaetica et Cartographica Sinica, 2016, 45(4): 379-384. DOI:10.11947/j.AGCS.2016.20160057 |
| [4] |
吴华意, 黄蕊, 游兰, 等. 出租车轨迹数据挖掘进展[J]. 测绘学报, 2019, 48(11): 1341-1356. WU Huayi, HUANG Rui, YOU Lan, et al. Recent progress in taxi trajectory data mining[J]. Acta Geodaetica et Cartographica Sinica, 2019, 48(11): 1341-1356. DOI:10.11947/j.AGCS.2019.20190210 |
| [5] |
中国公路学报编辑部. 中国汽车工程学术研究综述·2017[J]. 中国公路学报, 2017, 30(6): 1-197. Editorial Department of China Journal of Highway and Transport. Review on China's automotive engineering research progress:2017[J]. China Journal of Highway and Transport, 2017, 30(6): 1-197. |
| [6] |
李清泉. 从Geomatics到Urban Informatics[J]. 武汉大学学报(信息科学版), 2017, 42(1): 1-6. LI Qingquan. From geomatics to urban informatics[J]. Geomatics and Information Science of Wuhan University, 2017, 42(1): 1-6. |
| [7] |
李德仁, 李清泉, 杨必胜, 等. 3S技术与智能交通[J]. 武汉大学学报(信息科学版), 2008, 33(4): 331-336. LI Deren, LI Qingquan, YANG Bisheng, et al. Techniques of GIS, GPS and RS for the development of intelligent transportation[J]. Geomatics and Information Science of Wuhan University, 2008, 33(4): 331-336. |
| [8] |
涂伟, 李清泉, 方志祥. 一种大规模车辆路径问题的启发式算法[J]. 武汉大学学报(信息科学版), 2013, 38(3): 307-310, 338. TU Wei, LI Qingquan, FANG Zhixiang. A heuristic algorithm for large scale vehicle routing problem[J]. Geomatics and Information Science of Wuhan University, 2013, 38(3): 307-310, 338. |
| [9] |
唐炉亮, 阚子涵, 任畅, 等. 利用GPS轨迹的转向级交通拥堵精细分析[J]. 测绘学报, 2019, 48(1): 75-85. TANG Luliang, KAN Zihan, REN Chang, et al. Fine-grained analysis of traffic congestions at the turning level using GPS traces[J]. Acta Geodaetica et Cartographica Sinica, 2019, 48(1): 75-85. DOI:10.11947/j.AGCS.2019.20170448 |
| [10] |
VAZIFEH M M, SANTI P, RESTA G, et al. Addressing the minimum fleet problem in on-demand urban mobility[J]. Nature, 2018, 557(7706): 534-538. |
| [11] |
ICCT. Electric vehicle capitals: Accelerating the global transition to electric drive[C]//Proceedings of International Council on Clean Transportation.[S.l.]: ICCT, 2018.
|
| [12] |
TU Wei, LI Qingquan, FANG Zhixiang, et al. Optimizing the locations of electric taxi charging stations:a spatial-temporal demand coverage approach[J]. Transportation Research Part C:Emerging Technologies, 2016, 65: 172-189. |
| [13] |
GAN Lingwen, TOPCU U, LOW S H. Optimal decentralized protocol for electric vehicle charging[J]. IEEE Transactions on Power Systems, 2012, 28(2): 940-951. |
| [14] |
KIM H J, LEE J, PARK G L, et al. An efficient scheduling scheme on charging stations for smart transportation[C]//Proceedings of International Conference on Security-Enriched Urban Computing and Smart Grid.Berlin: Springer, 2010, 78: 274-278.
|
| [15] |
TIAN Zhiyong, JUNG T, WANG Yi, et al. Real-time charging station recommendation system for electric-vehicle taxis[J]. IEEE Transactions on Intelligent Transportation Systems, 2016, 17(11): 3098-3109. |
| [16] |
TU Wei, MAI Ke, ZHANG Yatao, et al. Real-time route recommendations for E-taxies leveraging GPS trajectories[J]. IEEE Transactions on Industrial Informatics, 2020. DOI:10.1109/TⅡ.2020.2990206 |
| [17] |
KAELBLING L P, LITTMAN M L, MOORE A P. Reinforcement learning:a survey[J]. Journal of Artificial Intelligence Research, 1996, 4(1): 237-285. |
| [18] |
MNIH V, KAVUKCUOGLU K, SILVER D, et al. Human-level control through deep reinforcement learning[J]. Nature, 2015, 518(7540): 529-533. |
| [19] |
KOBER J, BAGNELL J A, PETERS J. Reinforcement learning in robotics:a survey[J]. The International Journal of Robotics Research, 2013, 32(11): 1238-1274. |
| [20] |
GAO Yong, JIANG Dan, XU Yan. Optimize taxi driving strategies based on reinforcement learning[J]. International Journal of Geographical Information Science, 2018, 32(8): 1677-1696. |
| [21] |
VERMA T, VARAKANTHAM P, KRAUS S, et al. Augmenting decisions of taxi drivers through reinforcement learning for improving revenues[C]//Proceedings of the Twenty-Seventh International Conference on Automated Planning and Scheduling (ICAPS 2017).[S.l.]: ICAPS, 2017: 409-417.
|
| [22] |
荆朝霞, 郭文骏, 郭子暄. 基于多代理技术的电动出租车运营实时仿真系统及应用[J]. 电力系统自动化, 2016, 40(7): 83-89. JING Zhaoxia, GUO Wenjun, GUO Zixuan. Real-time simulation of electric taxi operation based on multi-agent technology[J]. Automation of Electric Power Systems, 2016, 40(7): 83-89. |
| [23] |
TSENG C M, CHAU S C K, LIU Xue. Improving viability of electric taxis by taxi service strategy optimization:a big data study of New York city[J]. IEEE Transactions on Intelligent Transportation Systems, 2018, 20(3): 817-829. |
| [24] |
高阳, 陈世福, 陆鑫. 强化学习研究综述[J]. 自动化学报, 2004, 30(1): 86-100. GAO Yang, CHEN Shifu, LU Xin. Research on reinforcement learning technology:a review[J]. Acta Automatica Sinica, 2004, 30(1): 86-100. |
| [25] |
BELLMAN R. Dynamic programming and lagrange multipliers[J]. Proceedings of the National Academy of Sciences of the United States of America, 1956, 42(10): 767-769. |
| [26] |
WATKINS C J C H, DAYAN P. Technical note:Q-learning[J]. Machine Learning, 1992, 8(3-4): 279-292. |
| [27] |
TESAURO G. Temporal difference learning and TD-Gammon[J]. Communications of the ACM, 1995, 38(3): 58-68. |
| [28] |
VAN HASSELT H, GUEZ A, SILVER D. Deep reinforcement learning with double Q-learning[C]//Proceedings of the 30th AAAI Conference on Artificial Intelligence.[S. l.]: AAAI Press, 2016: 302-315.
|
| [29] |
LIN L J. Reinforcement learning for robots using neural networks[D]. Schenley Park Pittsburgh, PA, United States: Carnegie Mellon University, 1993.
|
| [30] |
BAUER G S, GREENBLATT J B, GERKE B F. Cost, energy, and environmental impact of automated electric taxi fleets in Manhattan[J]. Environmental Science & Technology, 2018, 52(8): 4920-4928. |



