2. 信息工程大学, 河南 郑州 450001;
3. 地理信息工程国家重点实验室, 陕西 西安 710054;
4. 西安测绘研究所, 陕西 西安 710054
2. Information Engineering University, Zhengzhou 450001, China;
3. State Key Laboratory of Geo-Information Engineering, Xi'an 710054, China;
4. Xi'an Research Institute of Surveying and Mapping, Xi'an 710054, China
目前卫星精密定轨常规策略使用的是双频消电离层组合观测量,并未考虑使用三频及以上的观测量。在精密定位等领域已经证实,加入第3频点的观测量可以提升模糊度固定的收敛速度[1-2],对测站定位精度有一定改善[3-4]。近10年来,随着播发三频以上信号卫星数量的不断增多,可充分利用更多频点信息的新的、简洁的观测模型,即非差非组合(原始)模型,正成为研究热点[5-7]。非组合模型已经广泛应用于精密定位[3-4]、电离层建模[8]、差分码偏差估计[9]、钟差估计[10]、时间同步[11]、精密定轨[12-14]等众多领域。
需要指出,GPS的第3频点存在与卫星相关、随时间变化的频率间偏差IFCB[15]。该偏差量级达到分米级,在其他导航系统上量级较小,在厘米或毫米量级,许多文献因此忽略该影响。此外,文献[16]研究表明,在第3频点只存在与卫星相关的时变偏差,在接收机端可以忽略时变特性。三频非组合模糊度方法上,文献[17-19]分别给出了不同策略的模糊度固定方法,表明使用超宽巷(EWL)-宽巷(WL)-窄巷(NL)策略更优。
在非组合定轨方面,文献[20]首先研究了基于非组合观测模型的低轨卫星定轨策略。文献[21-22]对非组合精密定轨策略进行了初步的研究,指出由于存在大量的待估电离层参数,非组合精密定轨相比IF策略计算耗时急剧增大。文献[12]系统地对非组合观测方程的未知参数进行了分析,包括钟差及其秩亏问题、对流层延迟的估计、电离层延迟与码偏差估计及分离、模糊度与相位偏差的分离,并系统给出了精密轨道确定的流程。使用15年(2003-2017年)包括245个全球国际GNSS服务组织(international GNSS service, IGS)测站的GNSS观测数据进行验证,与IGS各分析中心和最终产品进行了比较,表明非组合定轨可以取得与IGS产品精度相当的轨道、钟差、坐标等产品,能够胜任分析中心的日常处理工作。文献[13]针对电离层参数庞大的问题提出了一种提高计算效率的非组合定轨方法。
如果考虑加入第3频点的观测量进行精密定轨,相关研究较少。尽管双频观测量的定轨可满足要求,达到较高的轨道和钟差等产品精度,但是三频观测量明显的一个优势是可得到更为稳健的结果。此外,相较于双频,额外增加了30%的观测数据是否能够改善精密定轨结果,改善的幅度如何仍值得探究。基于以上分析,本文着眼于研究三频非组合精密定轨策略,分析第3频点观测量的加入对精密定轨产品的精度改善情况。考虑到GNSS卫星端存在明显的相位时变偏差,本文研究了顾及/不顾及卫星端相位时变偏差的三频非组合精密定轨观测模型。首先推导顾及时变特性的观测方程重新参数化方法,然后分析基于双差法的三频非组合模糊度固定方法,使用目前可发播三频观测数据的全球系统,即GPS、BDS和Galileo进行试验验证。
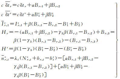
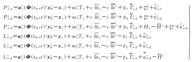
1 观测模型假定某一历元的观测方程为
(1)
式中,P为伪距观测量;L、φ表示以米、周为单位的载波相位观测量;s和r表示卫星和测站;i表示频点;λ表示波长;ρ表示站星几何距离;δtr、δts为接收机钟差、卫星钟差(单位为秒);c为光速;T为天顶对流层延迟;m为测站天顶至站星方向的对流层延迟映射函数;Ir, 1s为第1频点的电离层延迟一阶项;i频点电离层延迟系数为γi=(f1/fi)2,其中f表示频率;Br, i、Bis为接收机端、卫星端伪距时不变硬件延迟(单位m);br, i、bis为接收机端、卫星端载波相位时不变硬件延迟(单位为周);ζrg表示系统间偏差,假定均相对于GPS,则g表示除GPS外的其他GNSS系统,假定为常量偏差;N为整周模糊度(单位为周);ε、ξ为伪距、载波噪声;其他误差项假定均已正确改正。
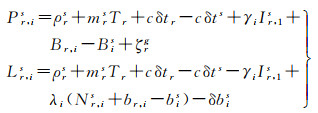
将站星距离作泰勒级数展开,并选取IGS钟差基准,即IF组合策略,对观测方程进行参数重组
(2)
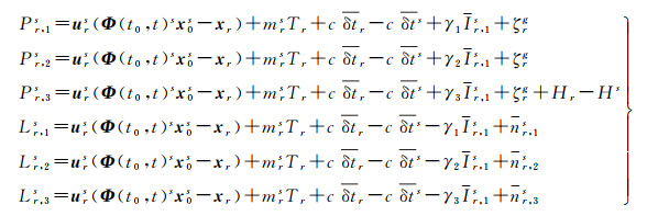
式中,urs为站星几何距离的一阶偏导数,也称视线向量;Φ(t0, t)s为从初始状态到当前状态的状态转移矩阵;xr为接收机质心位置;x0s为卫星初始状态及力模型参数等。其中参数表达式如下
(3)
式中,α=f12/(f12-f22);β=-f22/(f12-f22);第3频点的伪距观测量中包含卫星端的硬件时延组合Hs以及接收机端的时延组合Hr。在某一个时刻观测模型包含的未知参数为
(4)
对于Galileo卫星,可直接使用式(2)作为非组合观测方程。
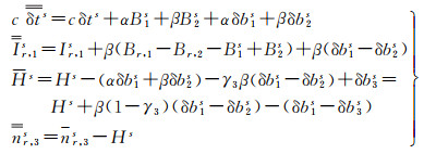
对于GPS卫星,由于IFCB的存在,需要对以上观测方程重新表达。顾及卫星端的时变偏差,且考虑伪距的权值较小,忽略伪距观测量的时变偏差,观测方程为
(5)
式中,δbis表示卫星端相位时变偏差,其余参数含义同式(1)。注意公式中略去了噪声。此时参数重组后的观测模型变成
(6)
式(6)中与式(2)不同的参数为
(7)
卫星钟差、电离层延迟除了吸收伪距的时不变参数外,还吸收了来自卫星端的相位时变偏差,而模糊度参数仅吸收了伪距时不变参数。第3频点卫星端的偏差项Hs包含时变和时不变分量的线性组合,存在于Pr, 3s和Lr, 3s中;第3频点接收机端的偏差项Hr仅包含时不变分量,存在于伪距观测量Pr, 3s中。需要注意伪距的观测噪声εr, is中还包含相位观测量中的时变偏差线性组合项,将会吸收至伪距残差中。此时包含的未知参数为
(8)
三频非组合情况下,第3频点需要估计卫星端的时变偏差,而原始伪距的时不变偏差被吸收到第3频点的模糊度中。事实上,第3频点中仅伪距的观测方程包含时不变偏差,但为了保持伪距和载波偏差项的系数一致,可将该时不变偏差项吸收至模糊度中。注意式(6)中第3频点的伪距与载波的时变偏差项是一致的。
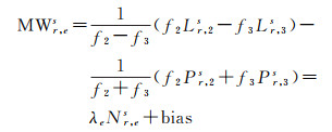
2 模糊度固定无论是非组合或IF组合的观测模型,均借助观测量的线性组合策略实现模糊度固定,最典型的策略即为先固定(超)宽巷再固定窄巷模糊度,这在三频观测量情况下是类似的。类似双频非组合模糊度固定方法,对三频观测量进行线性组合,基于EWL-WL-NL策略进行模糊度固定,其中EWL和WL可使用HMW组合观测量直接取整得到,而NL模糊度则使用固定后的EWL、WL和3个频点的浮点模糊度计算得到。对2/3频点的观测量使用HMW组合有
(9)
式中,MWr, es表示2/3频点组成的HMW组合观测量;λe=c/(f2-f3)表示超宽巷波长,对于GPS的L2和L5频点为5.86 m,BDS的B2I和B3I为4.88 m,Galileo的E5a和E5b为9.77 m;Nr, es为非差超宽巷模糊度。
使用文献[23]的方法得到一个连续弧段内超宽巷的模糊度Nr, es和标准差σr, es。假定两个测站为r和q,两颗卫星为s和l,可得到超宽巷双差模糊度Nrq, esl和对应的标准差为σrq, esl。依据Nrq, esl和σrq, esl使用概率判定函数[24]得到超宽巷双差模糊度的取整成功率为fe。如果fe达到给定的成功率阈值,如99.9%,则认为超宽巷双差模糊度取整成功,可得到相应的整数值为 
使用相同的方法对宽巷双差模糊度求解,即基于1/2频点的伪距和相位观测量形成HMW组合MWr, ws,并在一个连续弧段内取平均,得到非差宽巷模糊度Nr, ws及其标准差σr, ws。同理,进行双差运算,得到宽巷双差模糊度Nrq, wsl及其标准差σrq, wsl,假定取整成功率为fw,则取整成功后得到宽巷双差模糊度整数值
卫星精密定轨进行迭代平差得到所有参数浮点解结果,假定以米为单位非差浮点模糊度向量及其协方差矩阵分别为n和Σn,其中,n=[n1 n2 n3]T包含原始3个频点模糊度向量n1、n2、n3的实数解。假定窄巷模糊度为Nr, ns=Nr, 2s,则由浮点解向量n、协方差阵Σn和宽巷双差模糊度整数解
(10)
式中,Nrq, nsl和σrq, nsl分别为窄巷双差模糊度及其标准差;d为双差运算符号,是一个行向量,维数为一个频点的模糊度个数,除了n的元素中nrs、nql前系数为1,nqs、nrs前系数为-1外,其余元素均为0。窄巷模糊度的波长λn=c/(f1+f2)。类似的求解窄巷双差模糊度固定成功率fn。若取整成功则得到窄巷双差模糊度,记为
使用先星座层后地面网络层的方法选取独立的双差模糊度集合。在星座层使用Kruskal方法筛选得到独立的双差模糊度,在网层使用Gram-Schmidt正交化方法对星座层的模糊度进行独立性检验。通过以上分析,得到了超宽巷、宽巷、窄巷双差模糊度的集合。以综合固定成功率fe×fw×fn作为参照,依据得到的取整成功率,对所有候选的双差模糊度进行排序。使用序贯模糊度固定的方法对原始非差模糊度及其协方差矩阵进行更新,即将双差模糊度的约束信息加入到非差模糊度中。在进行模糊度约束时,使用超宽巷


为了验证提出的三频非组合精密定轨模型并分析第3频点观测量对精密产品精度的改善,选取3个可发射三频信号的GNSS(GPS、BDS和Galileo)卫星进行试验,对获取的轨道、钟差、测站坐标及对流层延迟产品进行精度评定。由于BDS-3当前可跟踪三频信号的MGEX测站数量较少,因此选取BDS-2卫星。选取的频点GPS为L1、L2和L5,BDS为B1I、B2I和B3I,Galileo为E1、E5a和E5b。卫星精密定轨时段为2019年7月19日至8月19日共约一个月。测站分布如图 1所示,包括62个MGEX测站,均能接收3个GNSS的三频信号。使用的卫星为12颗GPS IIF卫星,9颗BDS-2的IGSO和MEO卫星,24颗Galileo卫星。考虑到BDS部分卫星和GPS的IFCB量级较大[16],对于GPS和BDS卫星,使用观测方程(6)进行定轨,而对于Galileo卫星,使用观测方程(2)进行定轨。由于计算耗时因素,分别进行的试验方案为GPS和BDS-2双系统定轨(共21颗卫星)和Galileo单系统定轨(共24颗卫星)。
|
| 图 1 测站分布 Fig. 1 Station distribution of POD test |
卫星定轨采样间隔300 s,截止高度角为10°。考虑的引力模型包括地球重力场(EGM2008模型,阶数取至30),太阳、月球、水星、金星、木星等N体引力(JPL DE405),地球固体潮汐引力,相对论效应[27];考虑的非引力模型包括太阳光压模型(使用ECOM 5参数模型[28])和地球辐射压(仅GPS考虑)。钟差每个历元进行估计,选取一地面测站作为参考钟,电离层延迟使用双频伪距观测量计算初始值。测站对流层采用先验模型改正和参数估计方法,先验模型采用Saastamoinen天顶延迟模型和GMF映射函数,湿延迟在天顶方向每两个小时估计一组,水平梯度在北向、东向每天估计一组。测站坐标依据IGS周解的snx文件中坐标及方差,对少量测站紧约束,每个分量约束为0.02 m,大部分测站每个分量松约束1000 m,使用双差模糊度固定方法,得到固定解结果。定轨弧长为1 d。GPS和Galileo卫星的天线改正使用igs14.atx文件,目前IGS发布的atx文件中不包含L5频段的天线相位中心偏差PCO及其变化PCV产品,假定L5频点的PCO及其PCV与L1、L2一致。BDS卫星的天线改正使用文献[29]估计的结果,其中B3频点的值使用B2频点的数值代替。接收机端天线改正GPS的L1和L2频点使用igs14.atx文件,L5频点使用L2频点数值代替,BDS和Galileo的接收机端天线改正与GPS相同。在精密定轨前,需要对三频观测数据进行预处理,使用无几何组合和HMW组合,即TurboEdit算法进行粗差剔除及周跳探测与修复[23],分别对1/2频点组合和1/3频点组合的观测量执行TurboEdit算法,剔除粗差,标记周跳发生位置,对模糊度参数进行统一分段。
定轨试验方案如下。
S1:1/2频点IF组合观测模型定轨(IF12)。
S2:1/3频点IF组合观测模型定轨(IF13)。
S3:1/2频点非组合观测模型定轨(UC12)。
S4:三频非组合观测模型定轨(UC3)。
待估参数包括历元参数和常量参数。历元参数包括卫星钟差、接收机钟差,对于非组合定轨还包括斜向电离层延迟;常量参数包括卫星位置(初始历元时刻)、测站位置、模糊度、天顶对流层延迟(ZTD)等。定轨中并未对分段参数预消除,因此常量参数的解算是在整个弧段的观测量累加后平差解算得到,然后恢复历元参数。卫星精密定轨的步骤为:原始GNSS观测数据预处理(周跳、粗差、钟跳等的处理),依据广播星历计算卫星初始状态和状态转移矩阵,建立观测方程并进行参数估计,残差编辑剔除较差的观测量,重复执行参数估计与残差编辑直至剔除所有超出阈值的观测量,最后进行模糊度固定并生成精密定轨产品。
为评定定轨精度,使用外部轨道产品、内部检核即天边界不连续性(DBDs)、卫星激光测距(SLR)手段进行验证。对于外部轨道产品,GPS与IGS最终产品进行比较,BDS、Galileo与GBM定轨产品进行比较。对所有参与国际激光测距服务组织的卫星进行SLR验证,包括BDS的C06等4颗卫星,Galileo所有卫星。由于在DOY212-213两天个别卫星定轨较差,因此剔除了这两个弧段的结果。
3.1 模糊度固定率图 2给出了GPS、BDS、Galileo卫星在每个定轨弧段的(超)宽巷和窄巷模糊度固定率。GPS各方案的宽巷和窄巷模糊度固定率基本相当,所有弧段平均固定率宽巷大小排序为S3>S1>S4>S2,相应地窄巷为S4>S3>S1>S2,但是百分比差别小于0.5%,其中窄巷固定率最高方案S4为86.7%。方案S4超宽巷模糊度固定率为98.9%。BDS超宽巷固定率为100.0%,所有弧段平均固定率宽巷大小排序为S3>S4>S2>S1,相应地窄巷为S2>S4>S3>S1,IF13结果(S2方案)模糊度固定率较高,比S4方案平均高约1%。Galileo超宽巷固定率为100%,平均结果宽巷大小排序为S2>S4>S3>S1,相应地窄巷为S2>S3>S4>S1,不同方案结果差异很小,接近0.1%。
|
| 图 2 每个定轨弧段的超宽巷、宽巷和窄巷模糊度固定率,其中IF12、IF13、UC12和UC3分别对应方案S1-S4 Fig. 2 EWL, WL and NL ambiguity fixing rates at each POD arc IF12, IF13, UC12 and UC3 denote the S1-S4 POD schemes respectively |
模糊度结果的差异很小,其原因主要是在进行模糊度固定时,使用了消去电离层误差的线性组合观测量,并进行双差运算,可以将卫星端和接收机端的大部分误差项基本消除,传播路径的误差也得到极大削弱。因此使用这些精确的双差模糊度进行模糊度固定,三频和双频策略的模糊度固定率是相当的。此外,无论是三频或者双频定轨,均使用(超)宽巷、窄巷序贯模糊度固定的方法,最终均固定相同的窄巷双差模糊度,因此双频与三频的模糊度固定率相当。
3.2 定轨产品精度表 1给出了所有定轨弧段的外部检核平均结果。图 3展示了GPS、BDS和Galileo卫星得到的每个弧段在径向(R)、切向(T)、法向(N)的定轨精度。
| GNSS | 轨道/mm | 钟差/ns | DBDs/ mm | ||||||
| R | T | N | 3D | RMS | STD | ||||
| GPS | S1 | 14.3 | 19.7 | 22.1 | 33.4 | 0.271 4 | 0.057 3 | 71.8 | |
| S2 | 13.2 | 18.6 | 20.6 | 31.3 | - | - | 65.3 | ||
| S3 | 14.2 | 19.9 | 22.2 | 33.6 | 0.272 4 | 0.057 2 | 73.7 | ||
| S4 | 12.8 | 17.9 | 19.8 | 30.1 | 0.270 9 | 0.053 0 | 63.8 | ||
| S1/S4/(%) | 10.1 | 9.3 | 10.2 | 9.8 | 0.2 | 7.6 | 11.1 | ||
| S2/S4/(%) | 2.8 | 3.6 | 3.9 | 3.7 | - | - | 2.4 | ||
| BDS | S1 | 32.2 | 32.0 | 32.5 | 57.8 | 0.311 9 | 0.095 7 | 99.2 | |
| S2 | 33.1 | 32.9 | 34.3 | 60.0 | - | - | 100.7 | ||
| S3 | 32.6 | 32.3 | 33.0 | 58.6 | 0.311 9 | 0.097 4 | 105.6 | ||
| S4 | 35.1 | 36.3 | 35.8 | 64.1 | 0.308 0 | 0.097 4 | 102.0 | ||
| S1/S4/(%) | -9.1 | -13.4 | -10.4 | -10.8 | 1.3 | -1.8 | -2.9 | ||
| S2/S4/(%) | -6.0 | -10.1 | -4.6 | -6.7 | - | - | -1.4 | ||
| Galileo | S1 | 16.7 | 22.4 | 25.6 | 38.5 | 0.199 1 | 0.067 7 | 62.8 | |
| S2 | 16.7 | 22.0 | 25.6 | 38.3 | - | - | 57.9 | ||
| S3 | 16.4 | 22.1 | 25.2 | 37.9 | 0.200 6 | 0.067 0 | 57.0 | ||
| S4 | 16.5 | 22.0 | 25.4 | 38.1 | 0.200 2 | 0.066 6 | 58.3 | ||
| S1/S4/(%) | 1.5 | 1.8 | 0.8 | 1.2 | -0.5 | 1.6 | 7.2 | ||
| S2/S4/(%) | 1.0 | 0.0 | 0.7 | 0.5 | - | - | -0.6 | ||
|
| 图 3 每个定轨弧段GPS、BDS、Galileo轨道在R、T和N方向的平均精度RMS Fig. 3 Averaged GPS, BDS and Galileo orbits RMS in R, T and N directions for each POD arc |
GPS三频定轨方案相比IF12和IF13定轨策略在3个方向均有改善。由表 1知相比IF12在R、T、N、三维(3D)方向分别改善10.1%、9.3%、10.2%、9.8%,而相比IF13结果改善程度更小,三维方向相差仅约1 mm。
BDS可知方案S4与另外3个方案定轨精度基本相当,存在比方案S1更差的情况,其中第211 d结果方案S4多数卫星显著更差,可能原因是个别测站在当日三频模型结果较差。由表 1知整体上方案S4较S1和S2略微更差,可能是由于外部产品的精度也不确定。
Galileo结果可知定轨精度几乎是一致的,尽管存在个别弧段厘米量级的差异。由表 1也可看出,方案S4相比S1轨道几乎没有提升,精度改善百分比约为1%。
图 4给出了GPS、BDS和Galileo钟差在每个定轨弧段的均方根误差(RMS)和标准差(STD),注意1/3频点组合的方案S2与其余方案的钟差基准不一致。与GPS轨道结果类似,十字形(S4)略微更优,尤其是STD。由表 1也可看出,相比方案S1,钟差RMS和STD改善了0.2%和7.6%,钟差STD改善量级0.004 ns。BDS和Galileo与GBM产品比较结果表明,方案S4并无显著改善,结果差异在2%以内。
|
| 图 4 每个定轨弧段GPS、BDS、Galileo卫星钟差平均精度,包括RMS和STD Fig. 4 Averaged GPS, BDS and Galileo clocks RMS and STD for each POD arc |
图 5展示了GPS、BDS、Galileo每颗卫星在一个月的平均定轨精度,图 6为每颗卫星钟差的结果,目的是排除个别卫星可能影响评定结果。由图 5可见:①GPS卫星轨道的3个方向以及钟差的STD整体上均比方案S1结果更优;②BDS卫星结果中,4种方案的结果存在一定差异,其中部分卫星(如C11和C12)的轨道和钟差精度方案S4比其他方案更差,可能是PCO对于非组合模型存在不适用性或BDS数据质量问题;③Galileo卫星不同方案定轨精度基本是一致的,部分卫星方案S4更优,部分卫星方案S1或S2更优。
|
| 图 5 每颗GPS、BDS、Galileo卫星轨道在R、T和N方向的平均精度RMS Fig. 5 Averaged GPS, BDS and Galileo orbits RMS in R, T and N directions for each satellite |
|
| 图 6 每颗GPS、BDS、Galileo卫星钟差平均精度,包括RMS和STD Fig. 6 Averaged GPS, BDS and Galileo clocks RMS and STD for each satellite |
以上结果表明,与BDS和Galileo不同,GPS三频策略相较方案S1改善仍能达到约10%,最可能的原因是GPS的L5频点的信号质量好于L2频点[30]。
进一步查看其内部符合精度的差异,利用DBDs进行评定。图 7展示了GPS、BDS、Galileo卫星在每个弧段所有卫星的DBDs。表 1给出了统计的三维精度:①GPS定轨精度三维方向S4较S1方案改善了11.1%,BDS和Galileo卫星的改善结果较小甚至更差,相应地分别改善了-2.9%和7.2%;②尽管Galileo存在部分弧段的DBDs精度S1方案(圆圈)显著差于三频定轨结果,约在厘米量级,然而,其对应频点的双频非组合定轨精度(S3)却与三频定轨精度仅相差1~2 mm量级,即三频和双频非组合定轨精度更加一致。
|
| 图 7 每个定轨弧段GPS、BDS、Galileo卫星轨道DBDs在R、T和N方向的平均精度RMS Fig. 7 Averaged GPS orbits RMS of DBDs in R, T and N directions |
表 2给出了POD得到的测站位置及天顶对流层延迟的结果,其中测站位置与IGS周解文件IGSyyPweek.snx进行比较得到北(N)、东(E)、天(U)方向的RMS,部分测站RMS值大于1 dm的结果被剔除。ZTD的偏差计算方法为取每个测站偏差的绝对值,然后对所有测站在整个定轨弧段取平均。RMS剔除了超过2 cm的结果。由表 2可知,①GPS和BDS双系统策略测站位置精度,方案S4较S1,N、E、U、3D方向分别改善了8.0%、8.3%、7.8%、8.0%,改善量级在1 mm以内,这一结果与Galileo方案类似,约改善10%。但是,Galileo的方案S2与S4的测站位置精度基本相当;②对流层延迟精度GPS和BDS双系统结果方案S4较S1略微更差,而Galileo的结果S4方案略微更优,RMS差异百分比1%左右,表明这一差异并不显著。定轨结果中出现三频较双频定轨结果更差的情况,最可能的原因是第3频点的误差项没有准确改正,如BDS卫星PCO误差,另外的原因可能是三频非组合定轨观测模型有待进一步精化。
| 方案 | 测站位置 | 偏差 | RMS | ||||
| N | E | U | 3D | ||||
| GPS+BDS POD | S1 | 3.8 | 3.5 | 10.3 | 11.6 | 3.3 | 7.3 |
| S2 | 3.9 | 4.1 | 11.9 | 13.2 | 3.7 | 7.6 | |
| S3 | 3.8 | 3.7 | 10.3 | 11.6 | 3.3 | 7.3 | |
| S4 | 3.5 | 3.3 | 9.5 | 10.7 | 3.4 | 7.4 | |
| S1/S4/(%) | 8.0 | 8.3 | 7.8 | 8.0 | -5.1 | -1.5 | |
| S2/S4/(%) | 10.0 | 20.5 | 20.1 | 19.2 | 7.2 | 3.5 | |
| Galileo POD | S1 | 3.4 | 3.1 | 10.1 | 11.2 | 3.3 | 7.2 |
| S2 | 3.3 | 3.0 | 8.7 | 9.8 | 3.2 | 7.1 | |
| S3 | 3.5 | 3.2 | 10.3 | 11.3 | 3.3 | 7.2 | |
| S4 | 3.4 | 3.0 | 8.7 | 9.9 | 3.2 | 7.1 | |
| S1/S4/(%) | -0.2 | 4.1 | 14.1 | 11.7 | 2.2 | 1.0 | |
| S2/S4/(%) | -5.3 | 0.2 | 0.0 | -0.6 | -1.6 | -0.5 | |
3.3 SLR验证
由于IGS分析中心得到的精密产品均是基于IF组合的观测模型,模型差异性可能存在。为此,使用卫星激光测距观测量,对获得的一个月的轨道产品进行检核。可检核的卫星包括BDS 4颗和Galileo所有卫星。图 8为BDS、Galileo每颗卫星的统计结果,包括SLR的偏差、STD及RMS。BDS每颗卫星情况不一样,偏差值方面整体上方案S4相比S1略微更优。表 3给出了4颗卫星的平均值,表明偏差值略微提升了1 mm,而相比方案S2则提升了3 mm,但是RMS改善不大甚至略微更差,原因可能是BDS观测数据质量、卫星轨道精度及稳定性都有待提升。Galileo结果表明4种方案定轨结果差异很小。需要指出,Galileo卫星的偏差值存在一个系统性偏差,这一偏差在GBM和WUM产品中基本消失,原因为本文的定轨软件暂未考虑天线推力对定轨的影响。由表 3可知Galileo卫星RMS 4种方案差异小于1 mm,表明三频定轨并未带来明显的精度改善。
|
| 图 8 每颗BDS、Galileo卫星30个定轨弧段的SLR平均偏差、STD和RMS Fig. 8 SLR offset, STD, RMS and NP number for BDS and Galileo satellites over 30 POD arcs |
| 频率 | BDS | Galileo | |||||
| 偏差 | STD | RMS | 偏差 | STD | RMS | ||
| S1 | -19.9 | 48.4 | 53.0 | -45.6 | 21.0 | 50.2 | |
| S2 | -21.9 | 52.3 | 57.5 | -45.2 | 20.9 | 49.8 | |
| S3 | -22.0 | 49.0 | 54.2 | -45.5 | 21.0 | 50.2 | |
| S4 | -18.6 | 53.4 | 56.9 | -45.5 | 20.9 | 50.1 | |
| S1/S4 /(%) | 7.0 | -10.3 | -7.4 | 0.1 | 0.1 | 0.1 | |
| S2/S4 /(%) | 15.3 | -2.1 | 1.0 | -0.8 | -0.3 | -0.7 | |
3.4 精密定轨残差
为进一步分析定轨结果,图 9给出了3个系统每个弧段的定轨残差,其中不同颜色表示4种不同的定轨方案。对于非组合定轨结果(S3和S4)不同的符号标记对应不同频点的定轨残差。表 4给出了伪距和载波相位定轨残差的RMS均值。对于IF12和IF13策略的结果已对残差除以相应的比例因子。结果表明:
|
| 图 9 GPS、BDS、Galileo卫星伪距和相位定轨残差的RMS Fig. 9 RMS of code and carrier phase residuals for GPS satellites at each arc |
| 频率 | 载波相位 | 伪距 | ||||||
| 1 | 2(IF) | 3 | 1 | 2(IF) | 3 | |||
| GPS | S1 | 0.003 6 | 0.346 | |||||
| S2 | 0.003 8 | 0.350 | ||||||
| S3 | 0.003 1 | 0.001 9 | 0.362 | 0.307 | ||||
| S4 | 0.003 5 | 0.002 6 | 0.002 6 | 0.359 | 0.307 | 0.327 | ||
| BDS | S1 | 0.003 7 | 0.465 | |||||
| S2 | 0.003 4 | 0.465 | ||||||
| S3 | 0.003 2 | 0.001 9 | 0.539 | 0.380 | ||||
| S4 | 0.003 4 | 0.002 6 | 0.002 8 | 0.543 | 0.384 | 0.300 | ||
| Galileo | S1 | 0.004 0 | 0.282 | |||||
| S2 | 0.003 8 | 0.280 | ||||||
| S3 | 0.003 5 | 0.002 0 | 0.268 | 0.307 | ||||
| S4 | 0.003 8 | 0.002 4 | 0.002 4 | 0.267 | 0.306 | 0.297 | ||
(1) 3个GNSS的载波残差S4相较S3方案均更大,比如GPS的方案S3,L1、L2残差分别为3.1、1.9 mm,而S4方案的残差则分别为3.5、2.6 mm。文献[22]对BDS的三频定轨初步试验也得到了类似的结果。原因可能是三频非组合的误差建模并不是最优的,另外有可能还受到误差项如第3频点天线相位中心误差不准确的影响。对于伪距残差,不同方案的结果基本相当,尤其是对于方案S3和S4,两个频点平均结果几乎一致,仅有毫米量级的差异。
(2) 3个系统各频点的载波相位定轨残差UC相比IF(除以比例因子后)均更小,而伪距的IF残差介于UC两个频点之间。另外,BDS结果S4方案载波相位每个定轨弧段残差的波动比其他方案更大,而GPS和Galileo卫星不存在该现象。可能正是由于BDS数据质量、卫星轨道精度及稳定性原因,导致外部检核、激光检核得到不同方案优劣的结论并不清晰。应当指出不同定轨方案得到的残差均值量级是一致的,对于伪距残差的平均值为厘米至毫米量级,相位为亚毫米量级,表明定轨结果不存在系统性误差。
3.5 讨论以上定轨结果分析表明:
(1) 3个GNSS中,仅GPS卫星三频非组合定轨相较L1/L2频点策略对轨道和钟差改善较为显著,相比L1/L5频点定轨结果略微更优,基本上是一致的。这表明并不是增加了多余观测量较大程度改善了轨道精度,更可能的原因是GPS的L5频点的信号功率强于L2频点,从而方案S2的定轨精度优于方案S1。
(2) 由于相同的窄巷波长,4种定轨方案的模糊度固定率差异很小。BDS外部轨道比较结果三频定轨反而变差,而Galileo结果三频非组合轨道和钟差精度仅有约1%的差异或改善,DBDs的结果也验证了这一结论,差异在1~5 mm。除了BDS的方案S1与S4比较结果,BDS和Galileo卫星三频定轨结果SLR残差的RMS几乎没有改善,差异或改善幅度小于1%。BDS存在较大差异甚至变差的原因可能是PCO模型精度或BDS数据质量、卫星轨道精度及稳定性原因。
因此,三频定轨精度并没有对轨道和钟差等定轨产品精度带来显著提升。原因可能是:①额外频点的观测量并未改善观测量之间的几何构型,导致对产品精度改善贡献微弱,尽管增加了额外1/3的冗余观测量,这可能是最重要的原因;②对第3频点观测量的建模还有待改进,相比双频非组合定轨结果,3个GNSS的三频定轨相位残差均增大了亚毫米量级。因此观测模型可能有待进一步优化,另外存在一些误差项如第3频点的卫星端和接收机端的天线相位中心偏差并未正确改正。一个例外是GPS的L1/L2策略,其产品精度差于三频定轨结果和L1/L5双频定轨结果,最可能的原因是L5频点有更高的码片率和接收功率,且L1/L5组合的观测噪声优于L1/L2组合。
4 结论本文提出了三频非差非组合精密定轨观测模型及其模糊度固定方法,评定了第3频点观测量对GNSS精密定轨的贡献。针对GPS及部分BDS卫星存在相位时变偏差问题,将载波相位观测量的时延偏差分成时变和时不变分量,分别得到适用于不同GNSS的三频定轨观测模型;发展了适用于精密定轨的双差策略的三频模糊度固定方法。进行精密定轨试验验证,评定额外增加的1/3观测量对GNSS定轨产品的贡献。结果表明,三频定轨对轨道、钟差、测站位置和对流层产品精度的改善有限,对于BDS和Galileo改善或差异小于5%,对于GPS相比L1/L2频点双频定轨结果改善10%,但是与L1/L5频点双频定轨结果基本相当,原因可能是GPS的L2频点信号功率较低。
致谢: 特别感谢IGS的MGEX项目为本文提供数据。
| [1] |
LI Xingxing, GE Maorong, ZHANG Hongping, et al. A method for improving uncalibrated phase delay estimation and ambiguity-fixing in real-time precise point positioning[J]. Journal of Geodesy, 2013, 87(5): 405-416. DOI:10.1007/s00190-013-0611-x |
| [2] |
TU Rui, GE Maorong, ZHANG Hongping, et al. The realization and convergence analysis of combined PPP based on raw observation[J]. Advances in Space Research, 2013, 52(1): 211-221. DOI:10.1016/j.asr.2013.03.005 |
| [3] |
GUO Fei, ZHANG Xiaohong, WANG Jinling, et al. Modeling and assessment of triple-frequency BDS precise point positioning[J]. Journal of Geodesy, 2016, 90(11): 1223-1235. DOI:10.1007/s00190-016-0920-y |
| [4] |
张小红, 柳根, 郭斐, 等. 北斗三频精密单点定位模型比较及定位性能分析[J]. 武汉大学学报(信息科学版), 2018, 43(12): 2124-2130. ZHANG Xiaohong, LIU Gen, GUO Fei, et al. Model comparison and performance analysis of triple-frequency BDS precise point positioning[J]. Geomatics and Information Science of Wuhan University, 2018, 43(12): 2124-2130. |
| [5] |
张宝成, 欧吉坤, 袁运斌, 等. 基于GPS双频原始观测值的精密单点定位算法及应用[J]. 测绘学报, 2010, 39(5): 478-483. ZHANG Baocheng, OU Jikun, YUAN Yunbin, et al. Precise point positioning algorithm based on original dual-frequency GPS code and carrier-phase observations and its application[J]. Acta Geodaetica et Cartographica Sinica, 2010, 39(5): 478-483. |
| [6] |
辜声峰. 多频GNSS非差非组合精密数据处理理论及其应用[D]. 武汉: 武汉大学, 2013. GU Shengfeng. Research on the zero-difference un-combined data processing model for multi-frequency GNSS and its applications[D]. Wuhan: Wuhan University, 2013. |
| [7] |
SCHÖNEMANN E. Analysis of GNSS raw observations in PPP solutions[D]. Darmstadt: Technische Universität Darmstadt, 2014.
|
| [8] |
GU Shengfeng, SHI Chuang, LOU Yidong, et al. Ionospheric effects in uncalibrated phase delay estimation and ambiguity-fixed PPP based on raw observable model[J]. Journal of Geodesy, 2015, 89(5): 447-457. DOI:10.1007/s00190-015-0789-1 |
| [9] |
LIU Teng, ZHANG Baocheng, YUAN Yunbin, et al. Multi-GNSS triple-frequency differential code bias (DCB) determination with precise point positioning (PPP)[J]. Journal of Geodesy, 2019, 93(5): 765-784. DOI:10.1007/s00190-018-1194-3 |
| [10] |
YANG Xinhao, GU Shengfeng, GONG Xiaopeng, et al. Regional BDS satellite clock estimation with triple-frequency ambiguity resolution based on undifferenced observation[J]. GPS Solutions, 2019, 23(2): 33. DOI:10.1007/s10291-019-0828-0 |
| [11] |
TU Rui, ZHANG Pengfei, ZHANG Rui, et al. Modeling and performance analysis of precise time transfer based on BDS triple-frequency un-combined observations[J]. Journal of Geodesy, 2019, 93(6): 837-847. DOI:10.1007/s00190-018-1206-3 |
| [12] |
STRASSER S, MAYER-GÜRR T, ZEHENTNER N. Processing of GNSS constellations and ground station networks using the raw observation approach[J]. Journal of Geodesy, 2019, 93(7): 1045-1057. DOI:10.1007/s00190-018-1223-2 |
| [13] |
ZENG Tian, SUI Lifen, XIAO Guorui, et al. Computationally efficient dual-frequency uncombined precise orbit determination based on IGS clock datum[J]. GPS Solutions, 2019, 23(4): 105. DOI:10.1007/s10291-019-0898-z |
| [14] |
ZENG Tian, SUI Lifen, RUAN Rengui, et al. Uncombined precise orbit and clock determination of GPS and BDS-3[J]. Satellite Navigation, 2020, 1(1): 19. DOI:10.1186/s43020-020-00019-7 |
| [15] |
MONTENBRUCK O, HAUSCHILD A, STEIGENBERGER P, et al. Three's the challenge: a close look at GPS SVN62 triple-frequency signal combinations finds carrier-phase variations on the new L5[J]. GPS World, 2010, 21(8): 8-19. |
| [16] |
ZHANG Xiaohong, WU Mingkui, LIU Wanke, et al. Initial assessment of the Compass/BeiDou-3:new-generation navigation signals[J]. Journal of Geodesy, 2017, 91(10): 1225-1240. DOI:10.1007/s00190-017-1020-3 |
| [17] |
GU Shengfeng, LOU Yidong, SHI Chuang, et al. BeiDou phase bias estimation and its application in precise point positioning with triple-frequency observable[J]. Journal of Geodesy, 2015, 89(10): 979-992. DOI:10.1007/s00190-015-0827-z |
| [18] |
LI Pan, ZHANG Xiaohong, GE Maorong, et al. Three-frequency BDS precise point positioning ambiguity resolution based on raw observables[J]. Journal of Geodesy, 2018, 92(12): 1357-1369. DOI:10.1007/s00190-018-1125-3 |
| [19] |
GENG Jianghui, GUO Jiang, MENG Xiaolin, et al. Speeding up PPP ambiguity resolution using triple-frequency GPS/BeiDou/Galileo/QZSS data[J]. Journal of Geodesy, 2020, 94(1): 6. DOI:10.1007/s00190-019-01330-1 |
| [20] |
ZEHENTNER N, MAYER-GÜRR T. New approach to estimate time variable gravity fields from high-low satellite tracking data[M]//MARTI U.Gravity, Geoid and Height Systems, International Association of Geodesy Symposia. Cham: Springer, 2014: 111-116.
|
| [21] |
郭靖. 姿态、光压和函数模型对导航卫星精密定轨影响的研究[D]. 武汉: 武汉大学, 2014. GUO Jing. The impacts of attitude, solar radiation and function model on precise orbit determination for GNSS satellites[D]. Wuhan: Wuhan University, 2014. |
| [22] |
陈华. 基于原始观测值的GNSS统一快速精密数据处理方法[D]. 武汉: 武汉大学, 2015. CHEN Hua. An efficient and unified GNSS raw data processing strategy[D]. Wuhan: Wuhan University, 2015. |
| [23] |
BLEWITT G. An automatic editing algorithm for GPS data[J]. Geophysical Research Letters, 1990, 17(3): 199-202. DOI:10.1029/GL017i003p00199 |
| [24] |
DONG Danan, BOCK Y. Global positioning system network analysis with phase ambiguity resolution applied to crustal deformation studies in California[J]. Journal of Geophysical Research: Solid Earth, 1989, 94(B4): 3949-3966. DOI:10.1029/JB094iB04p03949 |
| [25] |
RUAN Rengui, WEI Ziqing. Between-satellite single-difference integer ambiguity resolution in GPS/GNSS network solutions[J]. Journal of Geodesy, 2019, 93(9): 1367-1379. DOI:10.1007/s00190-019-01251-z |
| [26] |
阮仁桂. SPODS软件GPS/GNSS网解的模糊度解算方法[J]. 测绘学报, 2015, 44(2): 128-134. RUAN Rengui. Ambiguity resolution for GPS/GNSS network solution with SPODS[J]. Acta Geodaetica et Cartographica Sinica, 2015, 44(2): 128-134. DOI:10.11947/j.AGCS.2015.20130461 |
| [27] |
PETIT G, LUZUM B. IERS conventions (2010)[R].Frankfurt am Main: Verlag des Bundesamts für Kartographie und Geodäsie, 2010.
|
| [28] |
BEUTLER G, BROCKMANN E, GURTNER W, et al. Extended orbit modeling techniques at the CODE processing center of the international GPS service for geodynamics (IGS): theory and initial results[J]. Manuscripta Geodaetica, 1994, 19(6): 367-386. |
| [29] |
DILSSNER F, SPRINGER T, SCHÖNEMANN E, et al. Estimation of satellite antenna phase center corrections for BeiDou[C]//Proceedings of IGS Workshop. Pasadena: IGS, 2014: 23-27.
|
| [30] |
BOLLA P, BORRE K. Performance analysis of dual-frequency receiver using combinations of GPS L1, L5, and L2 civil signals[J]. Journal of Geodesy, 2019, 93(3): 437-447. DOI:10.1007/s00190-018-1172-9 |


