2. 自然资源部第三大地测量队, 四川 成都 610100
2. The Third Geodetic Brigade, Ministry of Natural Resources, Chengdu 610100, China
高精度载波相位观测在精密定位和导航应用中起着重要的作用。由于地表观测GNSS信号相对较弱,易受干扰、遮挡等影响,载波相位观测值中常会发生周跳。文献[1]指出若周跳未能被准确地探测或修复,将导致整周模糊度参数失效,需要重新固定整周模糊度,影响GNSS导航定位的性能。在高动态RTK应用中,常用到10 Hz甚至高采样率的GNSS数据,且数据采集过程中周跳现象频繁发生,这直接影响GNSS高精度动态定位在高速应用场景中的实用性能,为此快速高效的低时延周跳修复方法势在必行。
目前,探测与修复周跳的方法主要有伪距相位组合法[2-6]、电离层残差法[7-10]、多项式拟合法[11-12]、多普勒积分法[13-14]、小波分析法[15-17]、高次差法[18]、卡尔曼滤波法[19-20]等。试验证明这些方法都具有较好的探测及修复效果,但也存在不足之处。例如,伪距相位组合法,探测效率高、程序容易实现,但其探测能力主要取决于电离层延迟和多路径效应在历元间的变化以及伪距和载波相位观测噪声、载波波长大小等[5-6, 21];电离层残差法可较好地探测周跳,但传统的电离层残差法没有很好地解决周跳发生在哪个频率的问题,且对于组合周跳的问题一般需要一些辅助的方法联合求解[22-24];质量控制理论也常用于周跳探测,通过整数最小二乘估计法可以获得更高的准确性,但由于需要进行搜索,周跳计算的算法复杂度高,周跳修复耗时增加[25-28]。
自动驾驶、无人机等高速RTK应用场景需要实时处理超高频的GNSS数据,在这种情况下,低时延的周跳探测及修复至关重要。随着接收机硬件性能提升,GNSS数据观测质量也得到了提升[29-30],这为更高效率的周跳修复处理提供了基础。本文针对单站动态接收机的高频GNSS数据,提出了一种基于观测值域的周跳探测方法OMGF。首先介绍了改进的几何无关(MGF)相位组合,进行小周跳的探测及修复;在MGF基础上,再结合高频GNSS数据的噪声特征,实现了基于观测值的周跳修复方法OMGF。利用实测数据对该方法进行试验和分析,并对试验结果进行讨论。
1 改进的几何无关(MGF)组合及其特性 1.1 MGF组合几何无关相位组合通常也称为电离层残差组合,文献[22]指出其定义如式(1)所示
(1)
式中,φi表示L1和L2载波以距离为单位的观测值;λ1和λ2分别表示L1和L2载波的波长;Ni表示整周模糊度;γ=f12/f22, f1和f2分别表示L1和L2载波的频率;I1表示f1频率上电离层延迟;εφGF表示组合观测量的相位观测噪声。
在大多数情况下,由于GF组合没有接收机钟差和卫星与接收机之间的几何距离,而被广泛用于周跳探测。但是,GF组合不能直接修复各频率发生的周跳。针对高频GNSS数据,文献[31]对GF组合进行了改进,得到MGF组合量,以实现双频相位数据中单个频率上的小周跳的直接解算,其表达式如式(2)所示
(2)
式中,e存在两个备选值{0, Sgn(δφGF(k))},其中,Sgn表示取符号运算,δφGF(k)=φGF(k)-φGF(k-1)表示相位无关组合的历元间差分量,符号(·)d表示实数的小数部分。
1.2 MGF误差分析
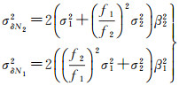
假设测量噪声在历元之间不相关,且忽略高频GNSS数据电离层项δI1,根据误差传播定律可估计出δN2和δN1的方差,如式(3)所示
(3)
式中,σ1和σ2分别表示L1和L2载波相位观测值的中误差。假设σ1=σ2=1 mm,δNi(i=1, 2)的中误差约为0.04周。
这里定义符号R(·)为四舍五入,则实数到最近整数的距离表示如式(4)所示
(4)
文献[31]指出MGF组合正确修复周跳需要满足如下条件
(5)
式中,

根据式(5),相位几何无关组合量需要满足如下条件
(6)
式中, 
MGF组合可以快速准确探测各频率上的周跳,其所能修复L1和L2频率上载波相位的周跳区间分别为[-4, 4]和[-3, 3][31]。对于超出上述范围的周跳,可结合伪距观测量计算得出(见式(7))
(7)
式中,δP代表历元间的伪距变化量,可采用原始观测量或者参数估计量计算得到,δNi, p为周跳初值。根据MGF方法的适用条件可知,其只能修复L1上小于5周,L2上小于4周的周跳,因此,δNi, p的修复结果需要满足以下条件
(8)
式中,
基于MGF组合观测量与高频观测值噪声特性的OMGF周跳修复的主要步骤:首先用伪距相位组合进行初始修复,将初始周跳修复至MGF适用的范围;然后用MGF组合对上述初始周跳进行小周跳修复,得到初始周跳修正值;最后将前两步所得周跳值取整相加,得到最终的周跳。周跳计算公式如式(9)所示
(9)
式中,

由于e存在两个备选值{0, Sgn(δOMGF)},δNi也存在两个备选值δNi(1)、δNi(2)。基于周跳的整数性质,选择较小的DNI(δNi)对应的δNi作为最终修复值
(10)
根据式(8)和式(9),为了使OMGF方法可以探测出所有周跳,要求利用伪距得到的初始周跳与其周跳真值差值需满足以下条件
(11)
根据式(11),各卫星系统的伪距观测噪声应该在下列范围内
(12)
假定δNi服从正态分布,根据式(9),结合文献[32]标量取整成功率的估计方法,OMGF得到正确周跳修复值的概率为
(13)
式中,

|
| 图 1 δP(k)和δφGF(k)噪声水平与周跳修复成功率 Fig. 1 δP(k) and δφGF(k)noise level and success rate of cycle hop repair |
3 高采样率GNSS数据周跳修复试验
本文采用2019年9月11日实测的动态数据和2020年1月13日实测的静态数据进行OMGF周跳试验分析,数据均为双频多星座20 Hz的高频数据,卫星系统包括GPS、BDS和GLONASS,动态数据和静态数据用不同品牌的接收机采集,接收机板卡均为天宝BD990[33],时长分别为30 min和40 min。动态数据的运动轨迹如图 2所示。
|
| 图 2 动态试验的运动轨迹 Fig. 2 Motion trajectory of dynamic experiment |
3.1 20 Hz数据伪距与相位噪声分析
利用静态和动态试验数据,分别对伪距观测噪声和相位观测噪声水平进行分析。静态试验数据中,GPS、BDS和GLONASS系统的有效观测个数分别为:405 789、535 132和228 034;动态试验数据中,3个系统的有效观测个数分别为:193 596、221 644和115 285;忽略相位噪声,基于历元差分的伪距和相位观测数据提取各卫星系统所有卫星的双频伪距观测值偏差δP(k)序列,如图 3、图 4所示。可以看出,静态与动态的超高频试验数据的各卫星系统历元间差分的伪距观测量的噪声水平优于0.1 m。
|
| 图 3 静态数据δP(k)和δφGF(k)序列 Fig. 3 Static observation data δP(k) and δφGF(k) time series chart |
|
| 图 4 动态数据δP(k)和δφGF(k)序列 Fig. 4 Dynamic data δP(k) and δφGF(k) time series |
基于历元差分的GF组合观测量,分系统提取所有卫星的历元间差分的相位几何无关组合量δφGF(k)序列如图 3、图 4所示,各系统相位几何无关组合量的噪声水平均优于1 mm,除了动态试验观测的GLONASS相位。结合伪距与相位组合量的噪声分布情况,根据式(13),可以计算得出,伪距相位组合将周跳范围缩小到MGF组合观测值域以内的成功率接近100%。
3.2 模拟周跳修复对比分析通过对动态实测数据加模拟周跳来验证OMGF周跳修复算法的性能。模拟周跳如下:模拟周跳历元间隔为0.25 s,模拟历元数为5832个。各卫星f1频率依次模拟周跳大小为:[-16,-14,-12,-10,-4,-3,-2,-1,1,2,3,4,6,8,10,12]周。f2频率依次模拟周跳大小为:[-12,-9,-6,-3,-2,-1,1,2,3,6,9,12]周。分别用OMGF方法和HMW-GF(HatchMelbourne-Wübbena and geometry-free combination)方法进行周跳探测和修复,并对比分析修复结果。测试过程使用相同的软硬件环境,且仅统计两种方法周跳探测与修复模块的耗时,统计结果见表 2。
| 卫星星座 | 载波频率 | 模拟周跳数 | 修复失败数 | 修复成功率/(%) | |||
| OMGF | HMW-GF | OMGF | HMW-GF | ||||
| GPS | L1 | 38 988 | 1 | 73 | 99.997 | 99.813 | |
| L2 | 38 988 | 1 | 73 | 99.997 | 99.813 | ||
| BDS | B1 | 44 313 | 1 | 30 | 99.998 | 99.932 | |
| B2 | 44 313 | 1 | 30 | 99.998 | 99.932 | ||
| GLONASS | L1P | 23 242 | 0 | 17 | 100.000 | 99.927 | |
| L2P | 23 242 | 0 | 17 | 100.000 | 99.927 | ||
由表 2可知,OMGF方法在各个系统探测周跳成功率均高于HMW-GF组合。尤其在GLONASS系统中,OMGF方法更是达到了百分百的修复率,GPS、BDS系统修复成功率次之。
经统计,OMGF方法探测耗时1684 ms,HMW-GF组合耗时101 310 ms,两者周跳处理平均每个历元的时间延迟分别为0.06和3.47 ms,OMGF方法比HMW-GF组合方法快60倍。
逐历元解算静态和动态试验数据的伪距和相位组合量δP和δφGF,统计伪距和载波相位组合量偏差超限历元的相位组合量偏差、伪距偏差、高度角、信噪比等见表 3。由于伪距或者组合相位偏差超出阈值,若这些历元发生周跳,利用OMGF方法将会得到错误的周跳修复结果。试验数据中,共有28个偏差超限历元,其中伪距偏差超限3个,相位偏差超限25个。
| 卫星 | 历元/s | 相邻数据的中断历元数 | δφGF/mm | δP/m | 高度角/(°) | 信噪比/dBHz | 试验数据 | |
| L1 | L2 | |||||||
| G14 | 11 194.45 | 0 | 14.2 | — | 29.1 | 37.5 | 12.6 | 静态 |
| 11 194.5 | 0 | 13.3 | — | 29.1 | 37.5 | 12.6 | ||
| 11 194.55 | 0 | 15.9 | — | 29.1 | 37.5 | 12.6 | ||
| 11 194.6 | 0 | 13.1 | — | 29.1 | 37.4 | 12.6 | ||
| 11 194.65 | 0 | 13.2 | — | 29.1 | 37.4 | 12.6 | ||
| C12 | 12 951 | 0 | — | 0.988 | 32.4 | 45.2 | 45.2 | 动态 |
| 12 951.2 | 0 | — | 0.979 | 32.4 | 46.3 | 46.3 | ||
| 12 951.4 | 0 | — | 0.938 | 32.4 | 47.1 | 47.1 | ||
| G02 | 13 344.95 | 27 | -12.9 | — | 55.4 | 43.8 | 34.1 | |
| 13 345 | 27 | -12.8 | — | 55.4 | 43.3 | 34.7 | ||
| G06 | 13 217.9 | 26 | 14.0 | — | 44.6 | 43.2 | 33.7 | |
| 13 217.95 | 26 | 12.8 | — | 44.6 | 43.2 | 33.7 | ||
| 14 080.65 | 153 | 13.5 | — | 41.1 | 43 | 35.4 | ||
| G09 | 13 469.15 | 705 | -13.0 | — | 22.1 | 40.8 | 25.2 | |
| 13 469.2 | 705 | -13.4 | — | 22.1 | 40.4 | 25.2 | ||
| 13 548.05 | 51 | -14.2 | — | 22.1 | 42.2 | 33.1 | ||
| 13 548.1 | 51 | -13.1 | — | 22.1 | 42.2 | 33.1 | ||
| G12 | 13 738.65 | 25 | 13.8 | — | 46.7 | 45.6 | 31.9 | |
| 13 738.7 | 25 | 14.0 | — | 46.7 | 43.4 | 28.9 | ||
| 13 738.75 | 25 | 13.7 | — | 46.7 | 43.4 | 28.9 | ||
| G17 | 13 248.15 | 62 | 13.3 | — | 32.1 | 42.7 | 28.1 | |
| 13 286.55 | 530 | 13.1 | — | 31.8 | 45.8 | 34.7 | ||
| 13 305.05 | 274 | 13.3 | — | 31.7 | 43.2 | 30.4 | ||
| 13 305.2 | 274 | 12.6 | — | 31.7 | 45 | 32.3 | ||
| 13 341.85 | 105 | -13.9 | — | 31.5 | 45.2 | 35.4 | ||
| G19 | 14 099.1 | 121 | -12.9 | — | 41.5 | 39.7 | 28.6 | |
| G25 | 13 368.05 | 2313 | 13.3 | — | 17.9 | 42.3 | 29.6 | |
| 13 368.2 | 2313 | 14.1 | — | 17.9 | 42.1 | 28.8 | ||
| R13 | 14 018.9 | 12 | -19.1 | — | 16.3 | 33.2 | 29.1 | |
静态试验数据中,载波相位几何无关组合量偏差超限时,对应历元信号的信噪比较低,如G14卫星L2信号的信噪比仅为12.6。动态试验数据中,载波相位几何无关组合量偏差超限时刻,均出现在数据中断观测历元附近,运动过程中信号受到遮挡、干扰等是造成相位偏差超限的主因。可以看出,OMGF方法对相位观测值的噪声水平较为敏感,当相位噪声水平增大时,方法正确率降低。
3.3 实测周跳试验分析为了测试方法探测与修复实际周跳的性能,分别采用最小二乘方法和OMGF方法对ZDSH、XIDU、XIPU 3个CORS站的观测数据进行周跳探测与修复试验,数据采样间隔为1 s,观测星座包括GPS、BDS和GLONASS,观测时间为2020年的DOY 133、DOY 134和DOY 135连续3 d。ZDSH位于山坡,低高度角部分有山体遮挡;XIDU在高楼楼顶,无遮挡;XIPU位于低楼层楼顶,有部分墙体遮挡。3个CORS站某时刻卫星分布如图 5所示,ZDSH、XIPU、XIDU 3个CORS站一天的有效观测数据分别为1 784 753、1 807 005和1 982 369。
|
| 图 5 测站卫星分布 Fig. 5 Satellite map of each station |
试验过程中,以最小二乘方法修复的周跳为真值来对比分析OMGF方法的有效性,周跳修复试验结果见表 4。
| 测站 | 年积日 | 最小二乘法修复结果 | OMGF | ||
| 探测成功数 | 伪距超限数 | 相位超限数 | |||
| ZDSH | 133 | 10 | 5 | 3 | 2 |
| 134 | 3 | 2 | 0 | 1 | |
| 135 | 15 | 4 | 5 | 6 | |
| XIDU | 133 | 0 | 0 | 0 | 0 |
| 134 | 1 | 1 | 0 | 0 | |
| 135 | 0 | 0 | 0 | 0 | |
| XIPU | 133 | 25 | 25 | 0 | 0 |
| 134 | 11 | 11 | 0 | 0 | |
| 135 | 23 | 19 | 0 | 4 | |
由表 4可知,ZDSH站共发生28个周跳,OMGF方法成功修复了11个。分析修复失败历元数据得出,伪距超限8次,相位观测噪声超限9次;XIPU站共发生59个周跳,其中由于相位噪声超限导致4个历元探测失败;XIDU站仅发生1个周跳,周跳得到成功修复。可以看出,周跳修复效果与观测环境下受遮挡的情况相关,遮挡相对严重的ZDSH站周跳修复效果最差。进一步统计周跳修复失败数据的卫星高度角,结果表明最小高度角为16.19°,最大高度角为25.4°,高度角均值为23.09°,周跳修复失败均发生在卫星高度角较低的情况。OMGF方法对观测噪声较为敏感,对观测值进行滤波降噪将有利于进一步提升方法的正确率。
4 结论针对高频动态GNSS数据的周跳快速高效修复,本文提出了一种低延时的周跳处理方法OMGF。
(1) 针对GPS、BDS和GLONASS系统,推导了OMGF方法的伪距和相位观测值误差的限差,以及方法周跳修复的成功率。当伪距观测值噪声为0.2 m,载波相位观测值噪声为1 mm时,方法的成功率为99.997%。
(2) 利用20 Hz GNSS单站动态观测数据对OMGF方法进行试验分析。结果表明,OMGF方法能快速有效地修复周跳,成功率达到99.998%。与HMW-GF组合相比,OMGF运算速度提高了60倍,且周跳修复失败历元数从240降低到4。
(3) OMGF方法基于单颗卫星的载波相位与伪距观测量直接估计单个频率上的周跳,探测过程仅需单颗卫星连续两个历元的观测数据,周跳修复的算法复杂度低,计算效率高,有利于算力资源受限的移动端超高频实时动态定位数据的在线处理。
(4) OMGF方法进行高频数据周跳计算时,主要受未建模的高频观测值噪声影响。观测过程多路径高频变化、大气高频扰动等因素是造成OMGF错误计算周跳的主要潜在原因。
| [1] |
YE Shirong, LIU Yanyan, SONG Weiwei, et al. A cycle slip fixing method with GPS+GLONASS observations in real-time kinematic PPP[J]. GPS Solutions, 2016, 20(1): 101-110. DOI:10.1007/s10291-015-0439-3 |
| [2] |
GAO Yang, LI Zuofa. Cycle slip detection and ambiguity resolution algorithms for dual-frequency GPS data processing[J]. Marine Geodesy, 1999, 22(3): 169-181. DOI:10.1080/014904199273443 |
| [3] |
ZHANG Xiaohong, HE Xiyang. BDS triple-frequency carrier-phase linear combination models and their characteristics[J]. Science China Earth Sciences, 2015, 58(6): 896-905. DOI:10.1007/s11430-014-5027-9 |
| [4] |
YAO Yifei, GAO Jingxiang, WANG Jinling, et al. Real-time cycle-slip detection and repair for BeiDou triple-frequency undifferenced observations[J]. Survey Review, 2016, 48(350): 367-375. DOI:10.1080/00396265.2015.1133518 |
| [5] |
李金龙, 杨元喜, 徐君毅, 等. 基于伪距相位组合实时探测与修复GNSS三频非差观测数据周跳[J]. 测绘学报, 2011, 40(6): 717-722, 729. LI Jinlong, YANG Yuanxi, XU Junyi, et al. Real-time cycle-slip detection and repair based on code-phase combinations for GNSS triple-frequency undifferenced observa-tion[J]. Acta Geodaetica et Cartographica Sinica, 2011, 40(6): 717-722, 729. |
| [6] |
张成军, 许其凤, 李作虎. 对伪距/相位组合量探测与修复周跳算法的改进[J]. 测绘学报, 2009, 38(5): 402-407. ZHANG Chengjun, XU Qifeng, LI Zuohu. Improving method of cycle slip detection and correction based on combination of GPS pseudorange and carrier phase observations[J]. Acta Geodaetica et Cartographica Sinica, 2009, 38(5): 402-407. DOI:10.3321/j.issn:1001-1595.2009.05.005 |
| [7] |
GOAD C C. Precise positioning with the global positioning system[C]//Proceedings of the 3rd International Symposium on Inertial Technology for Surveying and Geodesy. Baff, Canada: University of Calgary, 1985: 745-756.
|
| [8] |
黄令勇, 宋力杰, 王琰, 等. 北斗三频无几何相位组合周跳探测与修复[J]. 测绘学报, 2012, 41(5): 763-768. HUANG Lingyong, SONG Lijie, WANG Yan, et al. BeiDou triple-frequency geometry-free phase combination for cycle-slip detection and correction[J]. Acta Geodaetica et Cartographica Sinica, 2012, 41(5): 763-768. |
| [9] |
李林阳, 吕志平, 崔阳, 等. 伪距相位和无几何相位组合探测与修复多频周跳的比较[J]. 大地测量与地球动力学, 2015, 35(3): 396-400. LI Linyang, LÜ Zhiping, CUI Yang, et al. Comparison of cycle slip detection and repair of multiple-frequency based on code-phase and geometry-free combination[J]. Journal of Geodesy and Geodynamics, 2015, 35(3): 396-400. |
| [10] |
黄令勇, 翟国君, 欧阳永忠, 等. 三频GNSS电离层周跳处理[J]. 测绘学报, 2015, 44(7): 717-725. HUANG Lingyong, ZHAI Guojun, OUYANG Yongzhong, et al. Ionospheric cycle slip processing in triple-frequency GNSS[J]. Acta Geodaetica et Cartographica Sinica, 2015, 44(7): 717-725. DOI:10.11947/j.AGCS.2015.20140348 |
| [11] |
李征航, 黄劲松. GPS测量与数据处理[M]. 3版. 武汉: 武汉大学出版社, 2016: 154-161. LI Zhenghang, HUANG Jinsong. GPS surveying and data processing[M]. 3rd ed. Wuhan: Wuhan University Press, 2016: 154-161. |
| [12] |
汪平, 郝金明, 沈国康, 等. 单频精密单点定位中周跳的处理方法[J]. 测绘科学技术学报, 2009, 26(5): 337-339, 343. WANG Ping, HAO Jinming, SHEN Guokang, et al. Method for dealing with cycle slips in single-frequency precise point positioning[J]. Journal of Geomatics Science and Technology, 2009, 26(5): 337-339, 343. DOI:10.3969/j.issn.1673-6338.2009.05.007 |
| [13] |
何海波. 高精度GPS动态测量及质量控制[D]. 郑州: 信息工程大学, 2002. HE Haibo. Precise kinematic GPS surveying and quality control[D]. Zhengzhou: Information Engineering University, 2002. |
| [14] |
董明, 张成军, 吕静, 等. 基于星历计算的多普勒积分法的周跳探测与修复[J]. 大地测量与地球动力学, 2012, 32(3): 121-124, 134. DONG Ming, ZHANG Chengjun, LÜ Jing, et al. Detecting and repairing cycle slips by using Doppler intergration method based on ephemeris calculation[J]. Journal of Geodesy and Geodynamics, 2012, 32(3): 121-124, 134. |
| [15] |
黄丁发, 卓健成. GPS相位观测值周跳检测的小波分析法[J]. 测绘学报, 1997(4): 73-78. HUANG Dingfa, ZHUO Jiancheng. Wavelet analysis for cycle slip detection and reconstruction of GPS carrier phase measurements[J]. Acta Geodaetica et Cartographica Sinica, 1997(4): 73-78. |
| [16] |
蔡昌盛, 高井祥. GPS周跳探测及修复的小波变换法[J]. 武汉大学学报(信息科学版), 2007, 32(1): 39-42. CAI Changsheng, GAO Jingxiang. Cycle-slip detection and correction of GPS data by wavelet transform[J]. Geomatics and Information Science of Wuhan University, 2007, 32(1): 39-42. |
| [17] |
黄兵杰, 柳林涛, 高光星, 等. 基于小波变换的GPS精密单点定位中的周跳探测[J]. 武汉大学学报(信息科学版), 2006, 31(6): 512-515. HUANG Bingjie, LIU Lintao, GAO Guangxing, et al. Detection of cycle-slip in the GPS precise point positioning based on wavelet transform[J]. Geomatics and Information Science of Wuhan University, 2006, 31(6): 512-515. |
| [18] |
KLEUSBERG A, GEORGIADOU Y, VAN DEN H F, et al. GPS data preprocessing with DIPOP 3.0[C]//Proceedings of Internal Technical Memorandum. Fredericton, Canada: University of New Brunswick, 1993.
|
| [19] |
BASTOS L, LANDAU H. Fixing cycle slips in dual-frequency kinematic GPS-applications using Kalman filtering[J]. Manuscripta Geodaetica, 1988, 13(4): 249-256. |
| [20] |
刘伟平, 郝金明, 汪平, 等. Kalman滤波在周跳探测与修复中的应用[J]. 大地测量与地球动力学, 2009, 29(6): 101-103. LIU Weiping, HAO Jinming, WANG Ping, et al. Study on cycle slip detection and repair by use of Kalman filtering[J]. Journal of Geodesy and Geodynamics, 2009, 29(6): 101-103. |
| [21] |
HE Haibo. Precise kinematic GPS surveying and quality control[D]. Zhengzhou: Information Engineering University, 2002, 6: 28-30.
|
| [22] |
BLEWITT G. An automatic editing algorithm for GPS data[J]. Geophysical Research Letters, 1990, 17(3): 199-202. DOI:10.1029/GL017i003p00199 |
| [23] |
JU Bing, GU Defeng, CHANG Xiao, et al. Enhanced cycle slip detection method for dual-frequency BeiDou GEO carrier phase observations[J]. GPS Solutions, 2017, 21(3): 1227-1238. DOI:10.1007/s10291-017-0607-8 |
| [24] |
LIU Zhizhao. A new automated cycle slip detection and repair method for a single dual-frequency GPS receiver[J]. Journal of Geodesy, 2011, 85(3): 171-183. DOI:10.1007/s00190-010-0426-y |
| [25] |
BASELGA S. Nonexistence of rigorous tests for multiple outlier detection in least-squares adjustment[J]. Journal of Surveying Engineering, 2011, 137(3): 109-112. DOI:10.1061/(ASCE)SU.1943-5428.0000048 |
| [26] |
ODIJK D, VERHAGEN S. Recursive detection, identification and adaptation of model errors for reliable high-precision GNSS positioning and attitude determination[C]//Proceedings of the 3rd International Conference on Recent Advances in Space Technologies. Istanbul, Turkey: IEEE, 2007: 624-629.
|
| [27] |
TEUNISSEN P J G. Quality control in integrated navigation systems[J]. IEEE Aerospace and Electronic Systems Magazine, 1990, 5(7): 35-41. DOI:10.1109/62.134219 |
| [28] |
TEUNISSEN P J G, ODIJK D. Rank-defect integer estimation and phase-only modernized GPS ambiguity resolution[J]. Journal of Geodesy, 2003, 76(9-10): 523-535. DOI:10.1007/s00190-002-0285-2 |
| [29] |
ZHANG Zhetao, LI Bofeng, SHEN Yunzhong, et al. A noise analysis method for GNSS signals of a standalone receiver[J]. Acta Geodaetica et Geophysica, 2017, 52(3): 301-316. DOI:10.1007/s40328-016-0189-x |
| [30] |
ZHANG Zhiteng, LI Bofeng, NIE Liangwei, et al. Initial assessment of BeiDou-3 global navigation satellite system: signal quality, RTK and PPP[J]. GPS Solutions, 2019, 23(4): 111. DOI:10.1007/s10291-019-0905-4 |
| [31] |
FENG Wei, ZHAO Yinghao, ZHOU Letao, et al. Fast cycle slip determination for high-rate multi-GNSS RTK using modified geometry-free phase combination[J]. GPS Solutions, 2020, 24(2): 42. DOI:10.1007/s10291-020-0956-6 |
| [32] |
TEUNISSEN P J G. Success probability of integer GPS ambiguity rounding and bootstrapping[J]. Journal of Geodesy, 1998, 72(10): 606-612. DOI:10.1007/s001900050199 |
| [33] |
Trimble. Trimble BD990 triple frequency on all GNSS constellations with integrated mss band demodulator[DB/OL]. [2020-01-18]. http://trl.trimble.com/docushare/dsweb/Get/Document-873440/.
|



