影像分割是将影像域划分为若干个特定的、具有独特性质的区域,并提取感兴趣目标的技术和过程[1]。在遥感大数据时代,遥感影像解译能够挖掘遥感大数据的价值并推动遥感大数据的应用[2]。其中,遥感影像分割是遥感影像解译的关键技术,既是遥感影像处理任务的前提和关键,也为遥感影像的后续处理奠定了基础[3]。聚类分析作为经典的数据处理方法,已被广泛应用于影像分割。一般而言,聚类方法可分为硬聚类和软聚类[4]。其中,硬聚类是指将每一数据点都明确地分配到某一类中,如,K-means算法[5],其隶属度取值为{0, 1};软聚类又称模糊聚类,是利用模糊集理论量化数据点和类属间的模糊关系,将隶属度范围拓展为[0, 1]。模糊C均值(fuzzy C-means, FCM)聚类是经典的模糊聚类算法,用隶属度幂数以及像素与聚类中心间距离构建目标函数,并通过反模糊化隶属度得到最终聚类结果的数据分析算法[6-7]。作为经典的模糊聚类算法,该方法原理简单、计算方便,在遥感影像分割中得到了广泛应用[8-10]。但该算法仍存在以下不足[11-12]:①在影像分割过程中只考虑像素类属隶属度信息,不能精确地刻画类属的模糊性;②忽略了影像光谱测度本身存在的不确定性。
为了提高FCM算法对影像中模糊信息的处理能力,常用的两类策略是建模类属隶属度的不确定性和建模光谱测度的不确定性。为了提高对聚类过程中类属模糊性的刻画能力,文献[13]在FCM算法的基础上将模糊集拓展为区间二型模糊集,提出了区间二型FCM(interval type-2 FCM, IT2FCM)聚类算法。该算法用隶属度区间代替隶属度,在一定程度上提高了对像素类属的刻画能力,但该方法仍只在聚类过程中考虑隶属度信息,且仅利用光谱测度相似性实现聚类,忽略了诸如光谱测度不确定性等其他因素对聚类的影响,导致该算法对噪声敏感,稳健性较差。文献[14]提出了一种将直觉模糊集引入聚类过程的直觉FCM(intuitionistic FCM, IFCM)聚类算法。该算法在目标函数中引入了犹豫度,并将直觉模糊熵作为约束项,增加了对类属模糊性的刻画,进一步提高了模糊聚类算法的精度。但该方法仍不能改善模糊聚类算法对噪声敏感问题。在IFCM算法基础上,文献[12]提出了一种改进的直觉FCM(improved intuitionistic FCM, IIFCM)聚类算法,该算法通过结合影像局部光谱信息和空间信息构造直觉模糊因子以平滑影像异常值,在一定程度上降低了IFCM算法对噪声的敏感程度。但该算法放大了部分像素的作用,却忽略了影像光谱测度本身存在的不确定性,从而对分割结果精度产生了一定的影响。为了建模影像光谱测度的不确定性,文献[15]提出了一种改进的结合局部信息的直觉模糊核聚类算法(intuitionistic kernel- based FCM clustering with local information, IKFCM-L),该算法将像素光谱测度与聚类中心映射为直觉模糊集。该方法在一定程度上消除了光谱不确定性对聚类结果的影响,提高了影像分割精度。但该方法不能自动选择参数,使算法结果受参数选择影响严重。文献[16]提出了一种基于改进的直觉模糊核聚类的影像分割算法。该方法利用高斯核函数和欧氏空间距离建模影像空间信息并将其引入直觉模糊核聚类算法中,在影像分割中消除了邻域控制参数和核函数参数对分割结果的影响。但该算法需将数据映射到核空间进行处理,使得算法时间复杂度大大增加,且该算法不能根据影像光谱信息自动选择模糊化参数,使其对影像光谱测度不确定性的处理作用有限。
以上研究从类属模糊性和光谱测度不确定性两个方面对FCM算法进行改进,但均未提出一种能够有效处理影像光谱不确定性的模型。为了建模影像光谱测度的不确定性,并提高模糊聚类算法对类属模糊性的处理能力,本文提出基于直觉模糊集的影像分割算法。首先,归一化影像光谱测度隶属度,而后利用直觉模糊发生器和直觉模糊熵分析影像光谱测度的不确定性,从而选取最优参数以将遥感影像转化为直觉模糊集。其次,在聚类过程中综合像素类属隶属度和像素类属非隶属度作为相似性测度并将直觉模糊集间距离作为非相似性测度定义目标函数,精确刻画像素类属的模糊性,改善了传统模糊聚类算法对噪声的敏感性,提高了分割精度。目前遥感进入了大数据时代,与之相适应的遥感数据处理需求智能化的解译方法学,如,耦合知识图谱和深度学习正在成为新一代遥感影像解译范式[17]。另一方面,这些智能遥感数据解译方法需要更为坚实的分割语义单元支撑[17]。本文通过直觉模糊集的引入,建立了基于影像光谱测度和类属模糊性的影像分割模型,为遥感影像分割提供了一种算法。
1 基础理论 1.1 直觉模糊集合模糊集合理论[18]将集合论中元素属于该集合子集的特征函数取值从{0, 1}拓展为[0, 1]。在此基础上提出的直觉模糊集[19-20]引入了非隶属度和犹豫度两个类属性参数,以便更加细致地刻画类属的模糊性。
设集合X ={ xi, i=1, 2, …, n}为一非空论域,其中i为该集合元素索引,n为元素数,xi为元素i的取值(为表述方便起见,下文亦用xi作为索引元素)。对该集合中的任意一个元素xi,建立在X上的直觉模糊集合A可定义为
(1)
式中,μA(xi)(∈[0, 1])和γA(xi)(∈[0, 1]) 分别为xi对X的隶属度和非隶属度,且满足0 < μA(xi) < γA(xi) < 1;πA(xi)=1-μA(xi)-γA(xi)为X中元素xi的直觉指数,表示该元素对于集合X的犹豫度。
1.2 FCM聚类对于待分类数据集X,FCM算法利用元素xi对类簇j的类属隶属度,以及与代表类簇j的聚类中心的距离测度构建目标函数,并通过最小化该目标函数获得各元素的最优类属隶属度,从而得到最终的分类结果。FCM算法的目标函数为
(2)
式中,U =[uij]n×c为像素类属隶属度矩阵;c为聚类数;j为类别索引;K是聚类中心矩阵,即K =(kj, j=1, 2, …, c);m为表示算法模糊程度的模糊因子;dij=‖ xi- kj‖2,即元素i到聚类中心j的欧氏距离,uij(∈[0, 1])为元素i对聚类j的像素类属隶属度,且满足条件
(3)
基于FCM算法的影像分割以像素为元素,只考虑像素光谱测度对聚类中心的像素类属隶属度,忽略了像素类属非隶属度和像素类属犹豫度,且该算法仅依据光谱测度相似性进行聚类,未考虑影像光谱本身的不确定性。
2 算法描述 2.1 影像的直觉模糊模型为了建模影像光谱测度的不确定性,将直觉模糊集理论引入影像分割中,即将影像光谱测度转化为直觉模糊集。本文算法针对真彩色遥感影像(下文称为彩色遥感影像)。给定影像X ={ xi, i=1, 2, …, n},其中i为像素索引,n为像素数,xi=(xib, b∈{R, G, B})为像素i的光谱测度矢量,b为波段索引,R、G、B分别代表多光谱遥感影像的红、绿和蓝通道,xib为像素i波段b的光谱测度(假设xib已被归一化到[0, 1]区间,即xib∈[0, 1])。将X转化为直觉模糊集A ={ ai, i=1, 2, …, n},其中ai={ aib, b∈{R, G, B}},aib=(μib, γib, πib),μib、γib和πib分别为像素i波段b光谱测度隶属度、非隶属度和犹豫度,表征某种影像特征的不确定性。在实际应用中根据后续解译任务的需要,μib、γib和πib可由影像的不同属性建模,通常采用的影像属性如影像边缘性、亮度和均匀性等。本文依据影像的亮度属性建立其直觉模糊模型。
对光谱测度的隶属度和非隶属度可通过设计特定的直觉模糊发生器定义[21],而光谱测度犹豫度则定义为1减两者之和。本文定义光谱测度隶属度、光谱测度非隶属度和光谱测度犹豫度分别为
(4)
(5)
(6)
式中,λb为波段指数。
对于给定影像X,通过改变波段指数λb可以得到不同的光谱测度隶属度、非隶属度和犹豫度值,从而生成不同的直觉模糊集。当λb取不同值时,光谱测度隶属度、非隶属度和犹豫度随归一化光谱测度xib的变化规律如图 1所示。
|
| 图 1 波段指数λb取值的作用效果 Fig. 1 Effect of band exponent λb value |
由图 1可知,波段指数λb的取值会对影像直觉模糊模型的建立产生较大影响。当λb=0时,光谱测度的隶属度、非隶属度和犹豫度分别取值为0、1和0,该直觉模糊集退化为模糊集;当λb=1时,光谱测度的隶属度取值为该波段光谱测度归一化值本身,难以体现光谱测度的不确定性;当λb=2,光谱测度隶属度取值随光谱测度归一化值的变化曲线为凸函数,而光谱测度非隶属和光谱测度犹豫度曲线波动较大,且在当光谱测度归一化值大于等于0.6后,非隶属度值均为零;当λb=5时,光谱测度非隶属曲线在光谱测度归一化值小于0.2时波动较大,在光谱测度归一化值大于等于0.2时,趋近于零,难以体现影像光谱的亮度特征。而光谱测度犹豫度曲线主要分布在[0, 0.6]区间内,且分布不均匀,难以很好地描述影像光谱测度的不确定性;当λb=10时,光谱测度隶属度曲线在[0, 0.4]区间内变化较大,在[0.4, 1]区间内逐渐趋于1,光谱测度非隶属度值在[0, 0.2]区间波动较大,在[0.2, 1]区间内均趋近于零,光谱测度犹豫度曲线取值在[0, 0.4]区间内,波动较大且分布不均匀。由于此时λb取值较大,所得到的直觉模糊集的3个参数值已偏离实际光谱测度。综上,随λb取值增大,影像的直觉模糊模型由模糊集拓展为光谱测度隶属度、非隶属度和犹豫度为线性关系的直觉模糊集,再到光谱测度隶属度、非隶属度和犹豫度是关于光谱测度归一化值的曲线函数。最后,当λb取值过大时,对应的直觉模糊集偏离实际的光谱测度,难以描述影像光谱特征。影像的直觉模糊模型随λb取值变化存在较大起伏,为了确定波段指数λb的最优解,以得到最合适于给定影像的直觉模糊集,定义度量直觉模糊集不确定性测度,即直觉模糊熵[22]
(7)
式中,Eb是波段b的直觉模糊熵。
为了分析式(7)中直觉模糊熵Eb与波段指数λb的关系和波段指数λb取值的普适性,合成大小为128×128像素,波段数为3的模拟影像,如图 2所示。其中,为了体现波段差异性与直觉模糊熵之间关系,令R波段光谱测度在[127, 255]区间内均匀递增,G段光谱测度在[223, 255]区间内均匀递增,B波段光谱测度在[0, 255]区间内随机分布。
|
| 图 2 合成影像 Fig. 2 Composite image |
图 3为图 2中模拟影像各个波段直觉模糊熵Eb与波段指数λb关系曲线。如图 3所示,由于各个波段光谱测度取值和分布的差异,各波段的直觉模糊熵Eb值各异,但均存在波段指数λb使该波段直觉模糊熵Eb取得最大值。由式(7)可知,直觉模糊熵越大时,光谱测度隶属度值与非隶属度值越接近,表明光谱测度的不确定性越大,则当直觉模糊熵取值最大时,该直觉模糊集最能度量影像光谱测度的不确定性。结合图 3可知,对于任意波段,当直觉模糊熵Eb取得最大值时,有且仅有唯一的波段指数λb与之对应,且各个波段的直觉模糊熵分布和λb取值不尽相同。基于此,为了建模各个波段的光谱测度不确定性,求解出各个波段直觉模糊熵最大时的波段指数λbopt为
(8)
|
| 图 3 Eb随波段指数λb变化规律 Fig. 3 Eb varies with band exponent λb |
综上可得到影像X的直觉模糊集表达Aopt={ aiopt, i=1, 2, …, n},其中aiopt={ aibopt, b∈{R, G, B},aibopt=(μibopt, γibopt, πibopt)。μibopt、γibopt和πibopt可由λbopt代入式(4)—式(6)求得。至此,建立了基于直觉模糊熵的影像直觉模糊模型。在影像分割中,代替影像X ={ xi, i=1, 2, …, n},使用Aopt={ aiopt, i=1, 2, …, n}。为叙述方便起见,下文用A ={ ai, i=1, 2, …, n}表示影像X的最优直觉模糊集表达。
2.2 直觉模糊C均值聚类除了像素光谱测度存在不确定性(由此引入光谱测度的隶属度、非隶属度和犹豫度)外,在影像分割问题中像素类属性也存在不确定性。为此,在聚类过程中将引入像素类属的隶属度、非隶属度和犹豫度,并将其融入FCM算法中,提出直觉模糊C均值算法。利用线性加权的形式将像素类属隶属度与非隶属度结合刻画类属不确定性,并将光谱测度直觉模糊集间距离[23]作为非相似性测度,综上定义目标函数如下
(9)
式中,U =[uij]n×c为像素类属隶属度矩阵;j为同质区域索引;c为同质区域数;uij为像素i隶属于同质区域j的隶属度;V =[vij]n×c为像素类属非隶属度矩阵;vij为像素i非隶属于同质区域j的非隶属度;dij=‖ ai- kj‖2为光谱直觉模糊集空间中聚类中心j矢量kj=(μj, γj, πj)到ai的欧氏距离[23];α为像素类属隶属度权重,通常取经验值α=1/2;m为指数因子。
虽然vij可通过最小化式(9)得到,本文选用直觉模糊补集生成算子中的Yager算子[24]计算像素类属非隶属度,即
(10)
式中,ω为Yager算子的参数。
像素类属犹豫度刻画像素对聚类隶属的不确定性,由像素类属隶属度和非隶属度确定,设像素类属犹豫度矩阵为H =[hij]n×c,其中
(11)
为了得到目标函数的最优解,依据拉格朗日定理构建关于该目标函数中变量的拉格朗日方程。求取拉格朗日方程对像素类属隶属度、非隶属度和聚类中心的偏导数,并使其为零,设l为迭代指数,则可以求得聚类中心集合K(l)={ kj(l), j=1, 2, …, c},kj(l)=(μj(l), γj(l), πj(l)),其中μj(l)、γj(l)和πj(l)分别为
(12)
(13)
(14)
更新像素类属隶属度和非隶属度为
(15)
(16)
(17)
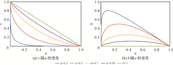
由于式(10)中像素类属非隶属度由Yager算子生成,因此Yager算子中参数的选择会影响聚类结果。为了得到最优聚类结果,需先选取ω的最优值。在式(10)中,ω的取值范围为(0, 1],当ω取值趋近于0时,像素类属非隶属度值为零,难以体现像素的非隶属性;当ω取值为1时,像素类属犹豫度为零,则无法描述聚类中“非此非彼”的模糊性。为了讨论ω性能,分析了ω在不同取值时像素类属非隶属度、犹豫度关于隶属度的曲线,据此选取最优参数,并通过试验对其进行了验证。图 4(a)、(b)分别为不同参数下像素类属非隶属度和犹豫度关于隶属度的曲线,由图 4(a)、(b)可以看出,当0 < ω≤0.5时,像素类属非隶属度和犹豫度值波动极大且分布不均匀,并不符合聚类过程中的实际变化规律;当0.5 < ω < 1时,像素类属非隶属度和犹豫度值随隶属度变化稳定且分布均匀。其中,当ω取值为0.85时,像素类属犹豫度较小且分布均匀,最能描述聚类中“非此非彼”的模糊性,是最优的参数值。基于此,本文ω取值为0.85。
|
| 图 4 不同参数下非隶属度、犹豫度随隶属度的变化 Fig. 4 The change of non-membership degree and hesitance degree with membership degree under different parameters |
为了进一步证明ω取值的可行性和优越性,选取ω=0.3、0.5、0.7、0.85、1分别对图 5(a)所示的尺度为256×256像素、波段数为3、类别为3的遥感影像进行分割试验,其结果分别如图 5(b)—(f)所示。为了便于显示分割结果,并与遥感影像原图形成比较,本文试验部分对遥感影像的分割结果均采用聚类中心像素值为各地类分割结果赋值。由图 5可以看出,当ω取值为0.3和0.5时,该影像仅被分成两类,无法实现其正确分割;当ω取0.7时,虽然影像被分为正确的类别数,但存在大量错分像素;当ω取1时,由于此时像素类属犹豫度取值为零,难以刻画类属不确定性,使得像素值相近的两类地物存在较多误分现象;而ω取0.85时,影像不仅被分为正确的地类,且不存在分割噪声,是最优的分割结果,至此,证明了参数ω取值的有效性。
|
| 图 5 参数ω取值对分割结果的影响 Fig. 5 Influence of parameter ω value on segmentation results |
综上所述,可得到基于直觉模糊集的遥感影像分割算法流程如下。
步骤1: 输入待分割影像X,确定聚类类别数c,模糊因子m,直觉模糊补参数ω,设定迭代指数l,迭代停止参数ε。
步骤2: 根据式(4)—式(8)求解影像X的直觉模糊表达A。
步骤3: 初始化像素类属隶属度矩阵U(0),根据式(10)—式(11)计算初始像素类属非隶属度矩阵V(0)和犹豫度矩阵H(0)。
步骤4: 根据式(12)—式(14)计算聚类中心Kj(l),Kj(l)=(μj(l), γj(l), πj(l))。
步骤5: 计算像素点与聚类中心距离dij。
步骤6: 由式(15)—式(16)计算U(l+1)和V(l+1)。
步骤7: 若像素类属隶属度和非隶属度矩阵满足限差要求,则停止迭代,否则重复步骤4—步骤6。
3 试验结果与讨论为了验证本文算法的可行性且相比于同类算法能够更好地处理模糊信息,分别对模拟影像和彩色遥感影像进行了分割试验,并与未考虑类属模糊信息的经典硬聚类算法K-means算法[25],仅考虑像素类属隶属度的FCM算法,文献[13]提出的IT2FCM算法、文献[14]提出的考虑像素类属隶属度与犹豫度的IFCM算法以及文献[15]提出的考虑光谱不确定性的IKFCM-L算法进行对比试验。
3.1 模拟影像分割试验为了验证本文算法的抗噪性,在大小为256× 256像素,波段数为3,包括3个同质区域(图 6(a)中标示的区域Ⅰ—区域Ⅲ)的彩色模拟影像上添加均值为0,标准差为0.02的高斯噪声,图 6(a)、(b)所示分别为模拟影像和及其加噪影像。采用K-means、FCM、IFCM和本文算法对加噪模拟影像进行分割。图 6(c)—(f)分别为K-means、FCM、IFCM和本文算法对模拟影像的分割结果。
|
| 图 6 模拟影像及分割结果 Fig. 6 Simulated image and segmentation results |
K-means算法的隶属度取值为{0, 1},即把样本数据明确地分到某一类中,忽略了类属的模糊性。由图 6(c)中可以看出,该算法对影像分割精度较低,且不具有任何抗噪能力;由于未考虑影像光谱测度的不确定性和对聚类过程中的模糊信息处理能力有限;图 6(d)中结果表明,FCM算法虽较K-means算法分割精度有所提高,但分割结果中仍存在大量误分像素,且几乎不具备抗噪能力;如图 6(e)所示,由于在聚类过程中引入了犹豫度,IFCM算法对类属模糊性的处理能力有所提高,使该算法具有一定的抗噪性,但由于该算法未考虑影像光谱测度的不确定性,使其对噪声的处理能力有限;本文算法建模了影像光谱测度的不确定性,极大地改善了算法对噪声的敏感度,并通过在聚类过程中引入直觉模糊集,降低了聚类过程中类属的不确定性,提高了分割精度(图 6(f))。
为了进一步验证本文算法的分割精度,以Kappa系数作为精度评价指标对模拟影像分割结果对进行定量评价,评价结果见表 1。Kappa系数是利用混淆矩阵[26]结合用户精度和产品精度两种参数提出的综合分割精度指标,在[0, 1]区间内,Kappa系数越高,表示分割精度越高。由表 1可知,K-means算法分割结果的Kappa系数仅为0.815,在区域Ⅱ上的产品精度和用户精度均较低;而传统FCM算法大部分分割精度较高,但在区域Ⅱ受噪声影响严重,产品精度仅为72.9%;而IFCM算法,相比于FCM算法精度有所提高,大部分区域分割用户精度和产品精度达到了90%以上,抗噪能力也有所提高,但仍不理性;而本文算法分割结果的用户精度和产品精度均在95%以上,总精度达到99%,Kappa系数为0.998,抗噪效果和分割精度要明显好于其他算法,相比于其他分割算法具有明显的优越性。
| 算法 | 区域Ⅰ | 区域Ⅱ | 区域Ⅲ | 总精度/(%) | Kappa系数 | |||||
| 用户精度/(%) | 产品精度/(%) | 用户精度/(%) | 产品精度/(%) | 用户精度/(%) | 产品精度/(%) | |||||
| K-means | 95.3 | 77.6 | 98.8 | 96.9 | 60.2 | 89.1 | 90.1 | 0.815 | ||
| FCM | 96.5 | 86.4 | 98.5 | 97.7 | 72.9 | 92.2 | 93.5 | 0.878 | ||
| IFCM | 93.4 | 95.1 | 86.3 | 91.9 | 90.6 | 89.8 | 92.6 | 0.902 | ||
| 本文算法 | 99.8 | 99.9 | 100 | 99.9 | 100 | 99.9 | 99.9 | 0.998 | ||
为了证明本文算法在遥感影像分割中的有效性,以图 7(a)为模板合成模拟遥感影像如图 7(b)所示,其中区域Ⅰ—区域Ⅲ分别为不同地物场景,均来源于WorldView2遥感影像。分别利用K-means算法、FCM、IT2FCM、IFCM、IKFCM-L和本文算法对合成进行分割,其结果如图 7(c)—(h)所示。
|
| 图 7 合成影像及分割结果 Fig. 7 Compound image and segmentation results |
由图 7可知,区域Ⅰ的地物类别为土地,同质区域内光谱测度值存在较大差异。在对区域Ⅰ进行分割时,K-means算法分割时出现大量错分点;FCM算法由于算法稳健性差,同样存在大量错分区域;而IT2FCM和IFCM算法虽然在不同程度上提高了分割精度,但依然存在错分现象,分割效果并不理想;IKFCM-L算法由于考虑了影像光谱信息,在分割结果上较其他模糊算法相对较好。而本文算法由于对光谱测度不确定性进行了精确建模,有效地消除了光谱测度不确定性对分割造成的影响,取得了较好的分割效果。对区域Ⅱ和Ⅲ的分割结果显示(图 7),K-means算法不能完整地对其分割,而FCM算法虽基本上实现了完整区域的分割,但分割噪声大,错分点多;而IT2FCM、IFCM和IKFCM-L虽然实现了正确的区域分割且错分点较少,但是在相邻区域边界处的分割效果均不理想,如图 7(f)、(g)中标红区域,这些算法将区域Ⅱ和Ⅲ边界位置处像素错分为区域Ⅰ。而本文算法由于充分考虑了影像光谱测度和聚类过程中的不确定性,能够对信息复杂且数据量大的遥感影像进行有效处理,得到了较好的分割结果。
3.2 消除不确定性效果验证为了验证本文算法在引入直觉模糊集后对类属模糊信息的处理能力,在添加了高斯噪声的模拟影像(图 8(a))中提取大小为5×5像素的窗口,其放大效果如图 8(b)所示,可以看出该区域内含有部分噪声。图 9(a)—(c)分别为FCM、IFCM和本文算法对窗口区域分割结果的隶属度值,1表示像素属于该类别,0表示像素不属于该类别,隶属度值越大则表示像素属于该类别的程度越高。如图 9所示,FCM算法对噪声敏感,在噪声点隶属度值普遍较低,类属不确定性极大;而IFCM算法则在FCM算法的基础上有所改进,对于部分噪声点,其隶属度得到一定改善,但像素类属仍旧存在不确定性;本文算法经过对影像光谱及聚类过程中不确定性的改善,提高了算法对模糊信息的处理能力,使得像素隶属度趋近于0和1,最大限度地降低了聚类的不确定性,提高了分割精度。
|
| 图 8 噪声影像及其局部放大效果 Fig. 8 Noise image and its local amplification effect |
|
| 图 9 消除不确定性效果分析 Fig. 9 Analysis of the effect of eliminating uncertainty |
3.3 彩色遥感影像分割试验
为了证明本文算法在遥感影像分割上的可行性和优越性,选取了多幅彩色遥感影像进行了分割试验。以图 10(a1)—(d1)所示WorldView2遥感影像为试验影像,包含河流、建筑、海岸、水体、裸地、林地和草地等地物类别,影像尺度均为256×256像素,波段数为3,空间分辨率为0.5 m。分别采用本文算法、IT2FCM、IFCM、IKFCM-L、FCM和K-means算法对试验影像进行分割。
|
| 图 10 遥感影像及分割结果 Fig. 10 Remote sensing image and segmentation results |
为了进一步证明本文算法对于遥感影像分割的普适性,将其应用于地物信息更加复杂的遥感影像分割中。以图 11(a1)—(d1)所示的WorldView2影像为另一组试验影像,包含度假村、寺庙等复杂的地类信息,影像尺度均为600×600像素,波段数为3,空间分辨率为0.5 m。分别采用本文算法、IT2FCM、IFCM、IKFCM-L、FCM和K-means算法对这组试验影像进行分割。
|
| 图 11 复杂遥感影像及分割结果 Fig. 11 Complex remote sensing image and segmentation results |
图 10(a7)—(d7)和图 11(a7)—(d7)、图 10(a2)—(d2)和图 11(a2)—(d2)、图 10(a3)—(d3)和图 11(a3)—(d3)、图 10(a4)—(d4)和图 11(a4)—(d4)、图 10(a5)—(d5)和图 11(a5)—(d5)及图 10(a6)—(d6)和图 11(a6)—(d6)分别为本文算法、K-means、FCM、IFCM、IT2FCM以及IKFCM-L算法的分割结果。由图 10(a2)—(d2)分割结果可知,K-means算法利用距离进行最邻近分割,未考虑类属的不确定性,有较大的分割误差。如图 10(c2)中,该算法将大量水体与海岸错分;图 11(b2)中,该算法的分割结果中出现大量的分割噪声。FCM由于采用隶属度刻画聚类过程中的模糊信息,其分割结果整体上要好于K-means算法,但由于该算法未考虑聚类的非隶属度和犹豫度信息,且忽略了光谱测度本身存在的不确定性,因此分割结果并不精确,出现了错分的现象,且受噪声影响严重。如图 10(b3)中,虽然该影像场景相对简单,但FCM算法进行分割时,其结果精度较低且出现了大量的噪声;而图 11(d3)中,该算法分割的建筑物表面存在大量错分像素。IT2FCM及IFCM虽对FCM算法进行了改进,在聚类过程中分别引入隶属度区间和犹豫度,但依旧未考虑影像光谱的不确定性问题,分割效果仍不理想。IFCM算法在对光谱测度相近地类进行分割时误差较大,且不能很好地保持影像边缘信息。如图 10(c4)中海岸和水体光谱测度较为接近,IFCM在该影像分割上存在大量的错分现象。而IKFCM-L算法虽然考虑了影像光谱不确定性,但由于核函数的复杂性使该算法在地物边缘处的分割效果较差。由图 10(a6)、(b6)可以看到,该算法难以很好地保持影像边缘信息。图 10中的影像场景简单,地物类别少;而图 11中影像场景相对复杂,地物类别多。本文算法对图 10、图 11的分割均得到了较好的结果,充分证明了本文算法在遥感影像分割中的普适性。本文算法提高了聚类过程中模糊信息的处理能力,降低了模糊分割的不确定性,改善了模糊聚类算法对噪声敏感的缺陷,提高了影像分割的精度,在对多幅试验影像进行分割时均取得了较好的分割效果。
由于遥感影像地物复杂,无法获得标准分割结果,为了对影像分割结果进行有效的定量评价,采用了概率兰德系数(probabilistic rand index, PRI)[27]和信息差异指标(variation of information, Ⅵ)[28]两种性能指标作为标准进行精度评价。其中,PRI在[0, 1]内取值,RRI值越大说明正确分割率越高;Ⅵ的取值范围为[0, ∞),Ⅵ值越接近于0说明同一区域内信息差异越小。精度评价结果见表 2。
| 影像 | K-means | FCM | IT2FCM | IFCM | IKFCM-L | 本文算法 | ||||||||||||
| PRI | Ⅵ | PRI | Ⅵ | PRI | Ⅵ | PRI | Ⅵ | PRI | Ⅵ | PRI | Ⅵ | |||||||
| 图 10 | a1 | 0.357 | 3.521 | 0.536 | 3.072 | 0.496 | 2.531 | 0.673 | 2.033 | 0.753 | 2.330 | 0.869 | 0.657 | |||||
| b1 | 0.484 | 2.587 | 0.649 | 0.969 | 0.516 | 1.402 | 0.727 | 0.809 | 0.550 | 1.030 | 0.906 | 0.161 | ||||||
| c1 | 0.531 | 6.113 | 0.659 | 3.096 | 0.643 | 2.967 | 0.531 | 6.113 | 0.786 | 2.051 | 0.922 | 0.260 | ||||||
| d1 | 0.620 | 2.300 | 0.711 | 2.715 | 0.550 | 1.307 | 0.729 | 0.809 | 0.610 | 0.839 | 0.940 | 0.368 | ||||||
| 图 11 | a1 | 0.793 | 1.483 | 0.802 | 2.022 | 0.847 | 1.159 | 0.717 | 1.336 | 0.817 | 1.359 | 0.861 | 1.004 | |||||
| b1 | 0.754 | 0.846 | 0.556 | 0.911 | 0.616 | 0.902 | 0.600 | 1.509 | 0.717 | 1.336 | 0.839 | 0.903 | ||||||
| c1 | 0.564 | 3.096 | 0.652 | 3.025 | 0.689 | 2.407 | 0.700 | 1.247 | 0.756 | 1.009 | 0.902 | 0.458 | ||||||
| d1 | 0.627 | 3.472 | 0.667 | 2.704 | 0.776 | 2.156 | 0.692 | 1.985 | 0.724 | 1.507 | 0.828 | 1.100 | ||||||
由表 2可知,在对遥感影像分割结果进行整体评价分析中,本文算法各项精度指标均高于其他算法,得到了较好的分割结果。为了分析本文算法在各类典型地物分割中的有效性和精确性,选取试验影像中几类典型地物,利用总精度和Kappa系数评价典型地物分类精度,其结果见表 3。
| 算法 | 精度指标 | 林地 | 草地 | 裸地 | 水体 | 建筑 | 道路 |
| K-means | 总精度/(%) | 62.7 | 67.5 | 78.9 | 53.7 | 65.9 | 70.6 |
| Kappa系数 | 0.580 | 0.638 | 0.670 | 0.478 | 0.601 | 0.663 | |
| FCM | 总精度/(%) | 61.0 | 75.7 | 66.1 | 65.3 | 71.4 | 75.2 |
| Kappa系数 | 0.558 | 0.696 | 0.606 | 0.492 | 0.677 | 0.698 | |
| IT2FCM | 总精度/(%) | 63.5 | 70.1 | 69.8 | 70.0 | 62.4 | 77.2 |
| Kappa系数 | 0.589 | 0.658 | 0.605 | 0.587 | 0.597 | 0.665 | |
| IFCM | 总精度/(%) | 68.0 | 62.7 | 71.9 | 54.0 | 71.2 | 73.6 |
| Kappa系数 | 0.614 | 0.580 | 0.853 | 0.630 | 0.663 | 0.685 | |
| IKFCM-L | 总精度/(%) | 81.0 | 85.7 | 75.3 | 75.1 | 74.1 | 77.2 |
| Kappa系数 | 0.758 | 0.796 | 0.692 | 0.684 | 0.698 | 0.702 | |
| 本文算法 | 总精度/(%) | 90.7 | 93.3 | 94.0 | 88.4 | 87.5 | 90.3 |
| Kappa系数 | 0.880 | 0.900 | 0.910 | 0.822 | 0.826 | 0.861 |
由表 3可知,在对典型地物进行精度评价的结果中,本文算法精度均高于其他对比算法。其中,K-means算法对于信息复杂的遥感影像整体分割精度均不高;FCM算法在对于易出现分割噪声的影像进行分割时精度偏低,如在对水体的分割结果的Kappa系数仅为0.492;而在对林地进行分割时总精度仅为62.7%;IT2FCM算法在对复杂地物进行分割时,分割精度总体偏低,如在对建筑进行分割时,该算法总精度仅为62.4%;IFCM算法对部分地类光谱测度相近的影像分割精度较低,如对林地和草地分割结果Kappa系数仅为0.614和0.580,且存在大量误分现象;而本文算法对于几类典型地物的分割,总精度均在85%以上,Kappa系数均在0.80以上,相较于对比算法,本文算法有较高的分割精度,证明了本文算法在高分辨率遥感影像分割上明显优于其他算法。
本文算法利用Matlab R2016a平台,在频率为2.70 GHz,内存为8 GB的Intel Core i5-6400处理器上实现。算法效率通过运行时间来衡量。模拟影像和遥感影像在不同算法下的运行时间见表 4。
K-means算法仅根据距离作为非相似性测度进行聚类,算法运行快、耗时短;而传统的模糊算法引入不同模糊集合元素作为相似性测度,增加了运算量,但耗时仍较短。而引入空间信息的IKFCM-L算法,由于利用核函数将像素点映射到高维非线性空间,增加了数据运算的复杂度,使运行时间增加。本文算法由于引入了光谱测度信息和非隶属度信息,运行时间较传统模糊算法有所增加,但因模糊集合计算相对简便,本文算法比IKFCM-L算法运行时间短,算法具有一定可行性。
4 结论影像分割一直是遥感影像处理中的关键技术,本文提出了一种基于直觉模糊集的影像分割算法。该算法从影像光谱测度本身的不确定性和聚类过程中模糊信息的处理两方面出发,结合直觉模糊集能够有效表达事物模糊性的特点,将直觉模糊集引入影像聚类过程中,对影像进行直觉模糊化处理并在聚类过程中引入像素类属非隶属度信息。试验结果证明,将影像进行直觉模糊化后,根据不同影像调整模糊化参数λb,能够对影像的光谱测度不确定性进行建模;而在影像聚类过程中,将像素类属非隶属度信息引入聚类过程,并结合直觉模糊集间距离定义目标函数。本文算法细致地刻画聚类过程中“非此非彼”的模糊信息,降低影像聚类过程中的光谱测度不确定性和像素类属不确定性,从而提高了聚类精度,得到了较好的影像分割结果。而通过对模拟影像及遥感影像进行分割试验,并与其他聚类算法分割结果进行对比,也表明了本文算法具有较好的影像分割效果。虽然本文算法在影像分割上得到了较好的结果,但仍存在一些问题,如算法在对影像进行模糊化处理时未考虑到影像的空间信息,抗噪能力有限,在后续的工作中将针对该问题进行研究,进一步提高算法的稳健性。
| [1] |
赵泉华, 王春畅, 李玉. 基于混合邻域约束项的改进FCM算法[J]. 控制与决策, 2021, 36(6): 1457-1464. ZHAO Quanhua, WANG Chunchang, LI Yu. Mixed neighborhood constraints based fuzzy C-means algorithm[J]. Control and Decision, 2021, 36(6): 1457-1464. DOI:10.13195/j.kzyjc.2019.1321 |
| [2] |
李彦胜, 张永军. 耦合知识图谱和深度学习的新一代遥感影像解译范式[J]. 武汉大学学报(信息科学版), 2022, 47(8): 1176-1190. LI Yansheng, ZHANG Yongjun. A new paradigm of remote sensing image interpretation by coupling knowledge graph and deep learning[J]. Geomatics and Information Science of Wuhan University, 2022, 47(8): 1176-1190. |
| [3] |
林文杰, 李玉, 赵泉华. 结合MST划分和RHMRF-FCM算法的高分辨率遥感图像分割[J]. 测绘学报, 2019, 48(1): 64-74. LIN Wenjie, LI Yu, ZHAO Quanhua. High-resolution remote sensing image segmentation using minimum spanning tree tessellation and RHMRF-FCM algorithm[J]. Acta Geodaetica et Cartographica Sinica, 2019, 48(1): 64-74. DOI:10.11947/j.AGCS.2019.20170585 |
| [4] |
王少宇, 焦洪赞, 钟燕飞. 条件随机场模型约束下的遥感影像模糊C-均值聚类算法[J]. 测绘学报, 2016, 45(12): 1441-1447. WANG Shaoyu, JIAO Hongzan, ZHONG Yanfei. A modified FCM classifier constrained by conditional random field model for remote sensing imagery[J]. Acta Geodaetica et Cartographica Sinica, 2016, 45(12): 1441-1447. DOI:10.11947/j.AGCS.2016.20150621 |
| [5] |
王慧贤, 靳惠佳, 王娇龙, 等. k均值聚类引导的遥感影像多尺度分割优化方法[J]. 测绘学报, 2015, 44(5): 526-532. WANG Huixian, JIN Huijia, WANG Jiaolong, et al. Optimization approach for multi-scale segmentation of remotely sensed imagery under k-means clustering guidance[J]. Acta Geodaeticaet Cartographica Sinica, 2015, 44(5): 526-532. DOI:10.11947/j.AGCS.2015.20130497 |
| [6] |
DUNN J C. Well-separated clusters and optimal fuzzy partitions[J]. Journal of Cybernetics, 1974, 4(1): 95-104. DOI:10.1080/01969727408546059 |
| [7] |
BEZDEK J C. Pattern recognition with fuzzy objective function algorithms[M]. New York: Plenum Press, 1981.
|
| [8] |
王春艳. 基于区间二型模糊理论的高分辨率遥感影像分割方法研究[J]. 测绘学报, 2019, 48(1): 132-132. WANG Chunyan. High resolution remote sensing image segmentation based on interval type-2 fuzzy theory[J]. Acta Geodaetica et Cartographica Sinica, 2019, 48(1): 132-132. DOI:10.11947/j.AGCS.2019.20170735 |
| [9] |
赵泉华, 李红莹, 李玉. 区域化模糊C均值高分辨率彩色遥感影像分割方法[J]. 控制与决策, 2015, 30(9): 1706-1710. ZHAO Quanhua, LI Hongying, LI Yu. Regionalized fuzzy C-means algorithm for segmentation of color remote sensing image[J]. Control and Decision, 2015, 30(9): 1706-1710. |
| [10] |
LIN Wenjie, LI Yu, ZHAO Quanhua. High-resolution remote sensing image segmentation using minimum spanning tree tessellation and RHMRF-FCM algorithm[J]. Journal of Geodesy and Geoinformation Science, 2020, 3(1): 52-63. |
| [11] |
赵凤, 孙文静, 刘汉强, 等. 基于近邻搜索花授粉优化的直觉模糊聚类图像分割[J]. 电子与信息学报, 2020, 42(4): 1005-1012. ZHAO Feng, SUN Wenjing, LIU Hanqiang, et al. Intuitionistic fuzzy clustering image segmentation based on flower pollination optimization with nearest neighbor searching[J]. Journal of Electronics & Information Technology, 2020, 42(4): 1005-1012. |
| [12] |
VERMA H, AGRAWAL R K, SHARAN A. An improved intuitionistic fuzzy C-means clustering algorithm incorporating local information for brain image segmentation[J]. Applied Soft Computing, 2016, 46: 543-557. DOI:10.1016/j.asoc.2015.12.022 |
| [13] |
HWANG C, RHEE F C H. Uncertain fuzzy clustering: interval type-2 fuzzy approach to C-means[J]. IEEE Transactions on Fuzzy Systems, 2007, 15(1): 107-120. DOI:10.1109/TFUZZ.2006.889763 |
| [14] |
CHAIRA T. A novel intuitionistic fuzzy C-means clustering algorithm and its application to medical images[J]. Applied Soft Computing, 2011, 11(2): 1711-1717. DOI:10.1016/j.asoc.2010.05.005 |
| [15] |
湛西羊, 李良群, 张富有. 融入局部信息的直觉模糊核聚类图像分割算法[J]. 信号处理, 2017, 33(3): 397-405. ZHAN Xiyang, LI Liangqun, ZHANG Fuyou. An intuitionistic kernel-based fuzzy C-means clustering algorithm with local information for image segmentation[J]. Journal of Signal Processing, 2017, 33(3): 397-405. |
| [16] |
徐小来, 房晓丽. 基于改进的直觉模糊核聚类的图像分割方法[J]. 计算机工程与应用, 2019, 55(17): 227-231. XU Xiaolai, FANG Xiaoli. Image segmentation based on intuitionistic fuzzy kernel C-means clustering algorithms[J]. Computer Engineering and Applications, 2019, 55(17): 227-231. |
| [17] |
张兵. 遥感大数据时代与智能信息提取[J]. 武汉大学学报信息科学版, 2018, 43(12): 1861-1871. ZHANG Bing. Remotely sensed big data era and intelligent information extraction[J]. Geomatics and Information Science of Wuhan University, 2018, 43(12): 1861-1871. |
| [18] |
ZADEH L A. Fuzzy sets[J]. Information Control, 1965, 8(65): 338-353. |
| [19] |
ATANASSOV K T. Intuitionistic fuzzy sets[J]. Fuzzy Sets and Systems, 1986, 20(1): 87-96. |
| [20] |
ATANASSOV K T. More on intuitionistic fuzzy sets[J]. Fuzzy Sets and Systems, 1989, 33(1): 37-45. |
| [21] |
BUSTINCE H, KACPRZYK J, MOHEDANO V. Intuitionistic fuzzy generators application to intuitionistic fuzzy complementation[J]. Fuzzy Sets and Systems, 2000, 114(3): 485-504. |
| [22] |
SZMIDT E, KACPRZYK J. Entropy for intuitionistic fuzzy sets[J]. Fuzzy Sets and Systems, 2001, 118(3): 467-477. |
| [23] |
SZMIDT E, KACPRZYK J. Distances between intuitionistic fuzzy sets[J]. Fuzzy Sets and Systems, 2000, 114(3): 505-518. |
| [24] |
YAGER R R. Some aspects of intuitionistic fuzzy sets[J]. Fuzzy Optimization and Decision Making, 2009, 8(1): 67-90. |
| [25] |
KANUNGO T, MOUNT D M, NETANYAHU N S, et al. An efficient K-means clustering algorithm: analysis and implementation[J]. IEEE Transactions on Pattern Analysis and Machine Intelligence, 2002, 24(7): 881-892. |
| [26] |
STEHMAN S. Selecting and interpreting measures of thematic classification accuracy[J]. Remote Sensing of Environment, 1997, 62(1): 77-89. |
| [27] |
UNNIKRISHNAN R, PANTOFARU C, HEBERT M. Toward objective evaluation of image segmentation algorithms[J]. IEEE Transactions on Pattern Analysis and Machine Intelligence, 2007, 29(6): 929-944. |
| [28] |
MEILA M. Comparing clusterings—an information based distance[J]. Journal of Multivariate Analysis, 2007, 98(5): 873-895. |


