2. 南京信息工程大学无锡研究院,江苏 无锡 214100;
3. 南京信息工程大学大气与环境实验教学中心,江苏 南京 210044
2. Wuxi Institute, Nanjing University of Information Science and Technology, Wuxi 214100, China;
3. Experimental Teaching Center for Meteorology and Environment, Nanjing University of Information Science and Technology, Nanjing 210044, China
水汽的变化能够间接影响大气的垂直稳定度和天气系统的形成与演变,因此高精度的水汽信息对于现代气象业务和气候学研究至关重要[1-2]。无线电探空和水汽辐射仪是常用的水汽探测技术,但探空站点分布较为稀疏且辐射仪器价格昂贵,因此难以满足现代气象业务的需求[3]。与传统水汽探测技术相比,GNSS反演水汽具有全天候、高时空分辨率和低成本等优势,在暴雨、洪水和台风等极端天气的监测和研究中应用广泛[4-6]。大气加权平均温度(Tm)是GNSS反演大气可降水量(precipitable water vapor, PWV)的关键参量之一,其精度将直接影响到PWV反演的结果[7]。
常用的高精度Tm获取方法是对无线电探空获取的温度、湿度廓线进行数值积分,但该方法易受观测时间和站点分布的限制,导致无法实时获取任意位置的Tm[8]。为此学者开始研究实用性更强的Tm经验模型:需输入实测气象参数的Tm模型和无须输入实测气象参数的Tm模型。前者最早是由Bevis根据Tm与地表温度(Ts)之间的线性关系提出[7]。文献[9]对Bevis模型在高海拔地区适用性较低的问题进行了分析,发现Tm与Ts在全球范围内均拥有强烈的相关性,由此构建了基于近地大气温度的全球Tm模型。文献[10]通过对中国西部地形起伏较大地区的Tm与高程和Ts的相关性进行了分析,并采用探空数据对Bevis模型进行改进,构建了中国西部地区顾及多因子影响的Tm模型。文献[11—13]针对中国不同地区构建了单气象因子或多气象因子的Tm模型。以上模型均能够计算出任意位置的高精度Tm,但使用时仍需输入实测气象参数,导致用户无法实时获取Tm。为解决上述问题,有学者提出利用历年来的探空数据和大气再分析资料建立无须输入实测气象参数的Tm经验模型。文献[14]基于傅里叶级数分析法,利用2010—2014年中国沿海地区13个探空站点的数据构建了精化Tm经验模型。文献[15—17]利用ERA-Interim再分析资料建立了一系列全球气温气压模型:GPT2、GPT2w和GPT3,在GNSS气象学中得到了广泛的应用。文献[18]利用2007-2014年的GGOS(global geodetic observing system)大气格网数据,构建了顾及垂直递减率函数的Tm格网模型。文献[19]对Tm在垂直方向上的分布特性进行了分析,构建了顾及非线性高程归算的全球Tm模型,显著提升了Tm的获取精度。尽管现有的全球或区域性Tm经验模型均表现出各自的适用性,但仍存在模型参数、建模数据源有待优化以及模型构建时仅依赖于单个探空站点或单一格网点数据等问题。
近年来,我国发射了一系列新一代气象卫星,获得了庞大的高时空分辨率气象数据,能够为GNSS水汽探测研究和应用提供巨大的帮助。本文提出融合风云四号A星(FY-4A)大气垂直探测仪(geostationary interferometric infrared sounder, GIIRS)数据和ERA5再分析资料,在此基础上引入滑动窗口算法[20]对融合数据进行处理同时顾及经度、纬度和高程因子构建一种空间分辨率为0.5°×0.5°(经度×纬度)的Tm经验模型(简称“FY-ETm模型”),联合未参与建模的2020年探空数据、ERA5再分析资料及天顶对流层延迟(zenith tropospheric delay,ZTD)产品,对FY-ETm模型及其反演的PWV进行精度评定。
1 数据来源本文使用的数据包括FY-4A GIIRS获取的大气温度廓线产品(AVP)、欧洲中期天气预报中心(European Centre for Medium-Range Weather Forecasts, ECMWF)提供的ERA5再分析资料、美国国家气候数据中心收集的探空数据和中国地震局提供的ZTD产品,其中2019年的AVP和ERA5再分析资料用于进行建模,2020年的探空数据和ERA5再分析资料用于对模型进行精度评定,2020年的ZTD产品用于对模型反演的PWV进行精度评定。
FY-4A是我国新一代静止轨道气象卫星,其上搭载的GIIRS为国际上第一台在静止轨道上以红外干涉分光方式探测大气垂直结构的精密仪器,能够获取高时空分辨率的AVP[21](http://satellite.nsmc.org.cn/PortalSite/Default.aspx)。该产品起始接收日期为2018年11月27日,并以视场为单位进行划分,视场密度分布如图 1所示,图 1中每个实心点代表一个视场,视场空间分辨率为16 km(约0.16°×0.14°),时间分辨率为2 h。各视场具体数据内容包括:地表高程、地表气压、地表温度、经度、纬度及按气压划分为101层的温度廓线。
|
| 图 1 AVP视场密度分布(2019年1月1日0时) Fig. 1 Field density distribution of AVP(2019-01-01 0:00) |
ERA5是ECMWF发布的第五代分析资料,能够提供自1950年以来全球的大气、海陆参数,产品的延迟时间仅为5 d[22](https://www.ecmwf.int/)。ERA5再分析资料的空间分辨率为0.25°×0.25°,时间分辨率为1 h,内容包括从1000 hPa到1 hPa的重力势、相对湿度、比湿和温度等气象数据,这些气象数据按气压划分为37层。
探空数据来自美国国家气候数据中心整合的全球无线电探空数据集(Integrated Global Radiosonde Archive 2, IGRA2)。IGRA2通过分层的形式提供每天0 h和12 h(UTC)的气象数据廓线(https://www.ncei.noaa.gov/)。本文所采用的84个探空站点分布如图 2所示,由于不同时间点的探空原始数据质量不一,在使用前将气压层数小于10层的探空数据时间点剔除。
|
| 图 2 探空站点分布 Fig. 2 Distribution of sounding stations |
ZTD产品来源于中国地震局GNSS数据产品服务平台(http://www.cgps.ac.cn/)。该产品由GAMIT软件处理得到,时间分辨率为1 h。
2 FY-ETm模型建立 2.1 数据融合为优化建模数据源,选用空间、垂直分辨率均优于ERA5再分析资料的AVP进行建模,但AVP中缺少各气压层对应的高度和水汽压,因此将AVP与ERA5再分析资料进行数据融合。具体的数据融合方法分为3步,下面以一个AVP视场为例进行说明:
(1) 计算视场各气压层高度处的水汽压。将距离视场最近的4个ERA5格网点的相对湿度、比湿插值到视场温度廓线对应的气压层高度中,插值方法如式(1) 所示
(1)
式中,XS表示视场温度廓线对应的气压层高度处需要插入的相对湿度或比湿;PS表示视场温度廓线对应的气压层高度处的气压;X2i、X1i表示ERA5格网点相邻两层气压高度处对应的相对湿度或比湿;P2i、P1i表示ERA5格网点相邻两层的气压,其中i表示4个距离视场最近的ERA5格网点。由式(1)可得4个ERA5格网点在视场温度廓线对应气压层高度处的相对湿度和比湿,然后通过双线性插值可得视场处各气压层高度的相对湿度和比湿,最后根据式(2)计算视场各气压层高度处的水汽压[23]
(2)
式中,Pw表示水汽压,单位为hPa;q表示比湿;P表示气压,单位为hPa。
(2) 由式(3)从下而上累加计算视场各气压层对应的高度[24]
(3)
式中,ΔH表示相邻两气压层间的高度;Rd表示干空气比气体常数,取287.05 J/(kg·K);G表示重力加速度,取9.806 65 m/s2;Tv表示层间平均虚温度,单位为K,其表达式如式(4)所示
(4)
式中,T表示层间平均绝对温度,单位为K;U表示平均相对湿度(%);E表示水面平均饱和水汽压;P表示平均气压,单位hPa。T由式(5)求得
(5)
式中,t1和t2分别表示相邻两气压层的气温(单位为℃)。
U由式(6)求得
(6)
式中,U1和U2分别表示相邻两气压层的相对湿度(%)。
由式(7)求得
(7)
式中,t表示相邻两气压层间的平均气温(单位为℃)。
P由式(8)求得
(8)
式中,P1、P2分别表示相邻两高度上的气压(单位为hPa)。
(3) 由式(9)计算视场的Tm
(9)
式中,Tm表示大气加权平均温度;N表示AVP视场的气压层数; Pwi表示第i层的平均水汽压; Δhi表示第i层的厚度; Ti表示第i层的平均气温。
2.2 构建FY-ETm模型针对现有Tm模型构建时仅依赖于单个探空站点或单一格网点数据的问题,利用滑动窗口算法对融合数据进行处理,具体过程以图 3进行说明。
|
| 图 3 滑动窗口算法 Fig. 3 Sliding window algorithm |
(1) 以空间分辨率0.5°×0.5°对AVP视场(约0.16°×0.14°)进行格网划分,划分结果为i×j个实线窗口,每个窗口包含若干视场,如图 3所示。
(2) 对左上角第一个窗口N1,1(视为一个滑动窗口)内所有视场的Tm求均值,将其作为窗口N1,1中心黑色格网点的Tm。
(3) 将窗口向纬度东向移动1个格网点,求解新的窗口N1,2中所有视场的Tm均值,将其作为窗口N1,2中心黑色格网点的Tm,以此类推,求出所有窗口各自中心的Tm。
(4) 将各窗口中的黑色实心点和虚线组成FY-ETm模型的格网,最终模型格网空间分辨率为0.5°×0.5°,范围大小为73.25°E—139.75°E、3.25°N—54.75°N,共计13 936个格网点。
GPT系列模型采用一个顾及年周期和半年周期的函数表达气象参数的时间序列变化,取得了较高的精度,本文也以该函数为基础表达Tm的年周期变化和半年周期变化。由于使用年积日作为模型输入参数会导致模型在不同年份相同年积日的情况下会得到相同的计算结果,为此本文选用儒略日作为模型的时间输入参数,同时顾及Tm在空间上的变化,模型的初步表达式为
(10)
式中,λ表示经度;φ表示纬度;JD表示儒略日;A0表示常数项;A1、A2分别表示经纬度系数;A3、A4表示年周期系数;A5、A6表示半年周期系数。利用2019年13 936个格网点的Tm值,采用最小二乘法即可求解出各格网点在式(10)中的模型系数。
由于目标点高程与格网点高程不一致会导致模型产生较大偏差[25-26],因此在利用格网点计算的Tm进行双线性插值之前,需要对初步模型进行高程改正,高程改正的表达式为
(11)
式中,δ表示格网点处的高程改正;Tms、Tmg分别表示距格网点最近的探空站点和模型未进行高程改正计算的Tm;Hs、Hg分别表示距格网点最近的探空站点和格网点的高程。若格网点与最近的探空站点距离大于格网分辨率(0.5°),则利用距格网点最近的ERA5格网点取代,格网点不同月份的高程改正由2019年相应月份的格网点Tm值通过式(11)计算所得。
最终,FY-ETm模型的表达式为
(12)
式中,Ht表示目标点处的高程。
FY-ETm模型使用过程如下:
(1) 用户输入目标点位置、时间参数,模型根据目标点的位置、时间查询距离目标点最近的4个模型格网点系数和高程改正。
(2) 根据格网点提供的模型系数及高程改正利用式(12)计算各格网点的Tm。
(3) 通过双线性插值得到目标点的Tm。
3 FY-ETm模型精度评定为验证FY-ETm模型的准确度和稳定性,以未参与建模的2020年84个探空站点数据和ERA5再分析资料计算的Tm作为参考值来评定FY-ETm模型的精度,并与广泛使用的Bevis模型和精度优异的GPT3模型(空间分辨率为1°×1°)进行精度对比。采用偏差(Bias)和均方根误差(RMS)作为精度的评定标准,其中Bias用以衡量模型的准确度,RMS衡量模型的稳定性。Bevis模型的表达式为
(13)
式中,Ts表示目标点处的气温。
3.1 利用探空数据进行精度评定统计不同模型得到的Tm年均Bias和RMS,结果见表 1。表 1表明,FY-ETm模型具有最小的年均Bias和RMS,其中年均Bias为-0.02 K,变化范围为-2.74~2.90 K,年均RMS为5.79 K,变化范围为3.09~18.53 K;GPT3模型的年均Bias和RMS均介于其他两个模型之间,分别为2.56 K和6.42 K,年均Bias和RMS的变化范围均大于其他两个模型,分别为-2.91~12.60 K和2.92~20.28 K;Bevis模型具有最大的年均Bias和RMS,分别为3.64 K和6.59 K,其中年均Bias的变化范围为-1.34~9.03 K,年均RMS的变化范围为2.44 K~19.56 K。综上所述,FY-ETm模型计算Tm的准确度最高,相比较于Bevis和GPT3模型,分别提升3.62 K和2.54 K,3个模型的稳定性相当,FY-ETm模型最优GPT3模型次之。由此可见,经验格网模型计算Tm具有较高的精度,相对于性能优异的GPT3模型,FY-ETm模型的精度也具有一定提升。
| 精度 | 模型 | |||
| Bevis | GPT3 | FY-ETm | ||
| Bias | 平均值 | 3.64 | 2.56 | -0.02 |
| 最大值 | 9.03 | 12.60 | 2.90 | |
| 最小值 | -1.34 | -2.91 | -2.74 | |
| RMS | 平均值 | 6.59 | 6.42 | 5.79 |
| 最大值 | 19.56 | 20.28 | 18.53 | |
| 最小值 | 2.44 | 2.92 | 3.09 | |
统计不同模型在各探空站点的年均Bias和RMS,结果如图 4所示。图 4(a)、(c)、(e)表明,Bevis模型在中国的西部和北部地区存在显著的正Bias,变化范围为6~10 K;GPT3模型在西藏、云南、四川地区存在显著的正Bias,个别探空站点的年均Bias值接近10 K,在东北部地区表现出较小的正Bias,变化范围为2~6 K,主要原因是上述地区地形起伏较大且GPT3模型未考虑Tm在高程上的改正;FY-ETm模型在整个中国地区均表现出较小的Bias,变化范围为-2~2 K。由此可见,FY-ETm模型在中国各地区计算的Tm表现出了良好的准确度,Bevis模型在中国的西部和北部地区准确度较差,GPT3模型的准确度较Bevis模型而言有一定的提高。由图 4(b)、(d)、(f)可知,3个模型表现出的稳定性相差不大,其中GPT3模型和FY-ETm模型的年均RMS分布情况较为接近,Bevis模型在中国北部地区的RMS值较其他两个模型而言要更大一些。总而言之,FY-ETm模型在中国地区表现出更为优良的准确度,其稳定性与GPT3模型相当,表明FY-ETm模型与其他模型相比具有显著的优势,尤其是在中国的西部地区和北部地区。
|
| 图 4 不同模型的年均Bias、RMS分布(参考值:探空数据) Fig. 4 Annual bias and RMS distribution of different models (reference value: sounding data) |
为进一步分析不同模型的Bias和RMS在纬度上的变化,对84个探空站点按照纬度为10°的间隔进行划分,统计不同模型在不同纬度范围内的Bias和RMS变化,如图 5所示。结果表明,Bevis模型的Bias随着纬度的增加而变大,在15°N—35°N范围内表现出较小的Bias,在35°N以上的范围内表现出较大的正Bias,Bias值接近6 K;GPT3模型在各纬度范围内均表现为正Bias,Bias值均在2 K附近上下浮动;相对于Bevis和GPT3模型,FY-ETm模型在各纬度范围内均表现出较小Bias,在35°N以下表现为正Bias,在35°N以上表现为负Bias,且各纬度范围内的Bias绝对值均接近于0 K。在RMS方面,不同模型的RMS在不同纬度范围内的表现大致相同,在15°N—35°N范围内,GPT3模型表现出了最大的RMS,FY-ETm模型介于其他两个模型之间,在35°N—55°N范围内,Bevis模型表现出了最大的RMS,FY-ETm模型表现出了最小的RMS。总体而言,FY-ETm模型在各纬度范围内均表现出了良好的准确度,在15°N—25°N的范围内Bevis模型的准确度与FY-ETm模型相当,对于稳定性而言,在15°N—25°N的范围内Bevis模型最优,FY-ETm模型次之,在35°N—55°N的范围内,FY-ETm模型的稳定性最优,GPT3模型次之。
|
| 图 5 不同模型Bias/RMS在不同纬度带范围内的变化(参考值:探空数据) Fig. 5 Changes of Bias/RMS of different models in different latitude bands(reference value: sounding data) |
为检验不同模型的季节性变化,对不同模型计算的Tm进行日偏差统计,结果如图 6所示。结果表明,Bevis模型在4个季节均表现为正Bias,全年期间Bias变化幅度较为稳定,均在2 K附近上下浮动,其中冬季的Bias变化幅度较大;GPT3模型在所有季节主要表现为正Bias,在春季表现出少量的负Bias,全年期间Bias随年积日的增加总体呈上升趋势,变化范围为-2~8 K,其Bias变化幅度在春季和冬季较大,在夏季和秋季较为稳定;FY-ETm模型在春季主要表现为负Bias,在夏、秋季正负Bias没有明显的对比关系,在冬季主要以正Bias为主,全年期间Bias主要在0 K附近上下浮动,其中春季和冬季Bias变化幅度显著增大。由此表明,GPT3和FY-ETm模型计算Tm的Bias存在明显的季节性变化,其中夏、秋季较为稳定,春、冬季存在显著的正负Bias,进一步说明Tm在春季和冬季变化较为剧烈。整体而言,前半年GPT3模型计算Tm的精度要优于Bevis模型,而后半年Bevis模型计算Tm的精度要优于GPT3模型,相对于Bevis和GPT3模型,FY-ETm模型计算Tm的精度有显著的改善,但其在春季和冬季的稳定性不如Bevis模型。
|
| 图 6 不同模型的日均Bias时间序列(参考值:探空数据) Fig. 6 Daily Bias time series of different models(reference value: sounding data) |
3.2 利用ERA5再分析资料进行精度评定
为同时检验FY-ETm模型在中国陆地及近海海域的精度,利用120个均匀分布且覆盖模型使用范围的ERA5格网点再分析资料对模型进行精度评定,结果见表 2。表 2表明,GPT3模型具有最大的年均Bias和RMS,其中年均Bias为-2.95 K,变化范围为-19.52~0.91 K,年均RMS为5.03 K,变化范围为1.5~19.71 K;FY-ETm模型表现出最小的年均Bias和RMS,分别为0.01 K和3.32 K,变化范围分别为-2.37~1.03 K和1.45~5.65 K;Bevis模型表现出的年均Bias和RMS均介于其他两个模型之间,其中年均Bias为0.98 K,变化范围为-2.77~6.88 K,年均RMS与FY-ETm模型相近,为3.45 K,变化范围为1.41~7.21 K。由此表明,与利用探空数据评定精度的结果不同,Bevis和FY-ETm模型的稳定性相当,其中FY-ETm模型表现出了优异的准确度,GPT3模型则表现出了较大的Bias和RMS,进一步说明FY-ETm模型计算Tm具有较高的精度。
| 精度 | 模型 | |||
| Bevis | GPT3 | FY-ETm | ||
| Bias | 平均值 | 0.98 | -2.95 | 0.01 |
| 最大值 | 6.88 | 0.91 | 1.03 | |
| 最小值 | -2.77 | -19.52 | -2.37 | |
| RMS | 平均值 | 3.45 | 5.03 | 3.32 |
| 最大值 | 7.21 | 19.71 | 5.65 | |
| 最小值 | 1.41 | 1.50 | 1.45 | |
统计不同模型在各格网点的年均Bias和RMS,结果如图 7所示。图 7(a)、(c)、(e)表明,Bevis模型在研究区域的北部和南部地区存在明显的对比关系,其中北部地区表现出显著的正Bias,Bias值接近5 K;GPT3模型在研究区域的东北部表现出显著的负Bias,变化范围为-5~-15 K,进一步说明未考虑Tm高程改正的GPT3模型在地形起伏较大的区域会产生较大Bias;FY-ETm模型在整个研究区域仍表现出较小的Bias,Bias值接近0 K。对于稳定性而言,由图 7(b)、(d)、(f)中可以看出,在整个研究区域Bevis和FY-ETm模型的稳定性相当,GPT3模型在北部地区表现出较大的RMS,尤其是东北部地区RMS值接近15 K。与利用探空数据评定精度的结果不同,FY-ETm模型的稳定性与Bevis模型更为接近,整体而言,FY-ETm模型在整个研究区域表现出优良的精度,进一步说明在地形起伏较大的区域利用FY-ETm模型计算Tm更有优势。
|
| 图 7 不同模型的年均Bias、RMS分布(参考值:ERA5) Fig. 7 Annual Bias and RMS distribution of different models(Reference value: ERA5) |
由图 8(a)可知,Bevis模型在25°N—35°N范围内表现出较小Bias,在其余纬度范围内均表现出较大Bias,其中35°N—55°N范围内Bias值接近4 K;GPT3模型在各纬度范围内均表现为负Bias,在15°N—25°N范围内表现出较小Bias,其余纬度范围内Bias值显著增大,在35°N—45°N范围内达到最大;相对于Bevis和GPT3模型,FY-ETm模型在各纬度范围内没有明显的正负Bias对比关系且Bias值均较小,在25°N—35°N范围内达到最小并接近0 K。图 8(b)表明,在15°N—25°N范围内,3个模型的RMS大致相同,其中GPT3模型表现出了最小的RMS,在25°N—55°N范围内,GPT3模型均表现出了最大的RMS,Bevis和FY-ETm模型则表现出了相似的RMS。总而言之,与利用探空数据评定精度的结果相同,进一步说明FY-ETm模型在各纬度范围内均能够表现出良好的准确度,对于稳定性而言,以ERA5再分析资料为参考值,GPT3模型在25°N—55°N的范围内稳定性明显下降,Bevis和FY-ETm模型在各纬度范围内均表现出相似的稳定性。
|
| 图 8 不同模型Bias/RMS在不同纬度带范围内的变化(参考值:ERA5) Fig. 8 Changes of Bias/RMS of different models in different latitude bands (reference value: ERA5) |
图 9表明,与利用探空数据评定精度的结果相同,Bevis模型在所有季节均表现为正Bias且变化幅度稳定,除冬季以外其余季节Bias值主要在2 K以下;全年期间GPT3和FY-ETm模型表现出了显著的变化幅度,GPT3模型的变化幅度在春季、夏季和冬季最为剧烈,其日均Bias值在所有季节主要表现为负Bias,在春夏季表现出最大的负Bias且Bias值接近6 K,在冬季表现出少量正Bias;FY-ETm模型表现出的变化幅度与GPT3模型类似,夏季和冬季较为显著,其日均Bias值变化范围在春季、夏季和秋季主要为-2~2 K,在冬季表现出最大的正Bias且Bias值大于4 K。总体而言,以ERA5再分析资料为参考值,FY-ETm模型在春季、夏季和秋季表现出优异的精度,在冬季计算Tm的精度次于Bevis模型,相对于Bevis和FY-ETm模型,GPT3模型在全年期间准确度和稳定性显著下降。
|
| 图 9 不同模型的日均Bias时间序列(参考值:ERA5) Fig. 9 Daily Bias time series of different models (reference value: ERA5) |
4 FY-ETm模型反演PWV精度评定
为验证FY-ETm模型反演PWV的精度,以GNSS站点得到的PWV作为参考值,对Bevis、GPT3和FY-ETm模型反演的PWV进行精度评定,3种基于不同Tm模型反演PWV的方法分别表示为B/PWV、G/PWV和F/PWV。为使结果更具有真实性和可比性,选取的GNSS站点与探空站点均位于同一站址,同时考虑到共址站点数据的完整性,最终选取了6个分布均匀的共址站点:JLYJ站(129.50°E,42.87°N)、GXWZ站(111.30°E,23.48°N)、BFHR站(119.7°E,49.25°N)、XICH站(102.27°E,27.90°N)、WEIN站(104.28°E,26.87°N)、BTNJ站(125.23°E,49.17°N)。由GNSS站点和3种Tm模型计算PWV的方法所采用的模型和数据处理策略相同,不同之处在于Tm的来源不同,其中GNSS站点处的Tm由探空数据计算而得,具体过程如下。
(1) 采用Saastamoinen模型[27-28]确定天顶静力延迟(zenith hydrostatic delay,ZHD),如式(14)所示
(14)
式中,P表示站点处的气压,单位为hPa;φ表示站点处的纬度,单位为rad;h表示站点处的高程,单位为m。
(2) 由ZTD减去ZHD得到天顶湿延迟(zenith wet delay,ZWD)
(15)
(3) 计算水汽转化系数Ⅱ[29]
(16)
式中,k′2和k3表示大气折射系数,k′2=22.1±2.2 K/hPa,k3=3.739×105±0.012×105 K2/hPa;Rv表示水汽的气体常数。
(4) 计算PWV
(17)
对不同Tm模型反演PWV的年均Bias和RMS进行统计,结果见表 3。表 3表明,在6个不同站点中,F/PWV均具有最小的年均Bias,其中JLYJ站的年均Bias最小,为-0.01 mm,XICH站的年均Bias最大,为0.18 mm,除JLYJ站和GXWZ站之外,F/PWV均具有最小的年均RMS,对于JLYJ站和GXWZ站,F/PWV的年均RMS均介于B/PWV和G/PWV之间;对于B/PWV和G/PWV,在6个不同站点表现出的年均Bias相当,其中JLYJ、BFHR和BTNT站G/PWV具有更小的年均Bias,GXWZ、XICH和WEIN站B/PWV具有更小的年均Bias,除BTNJ站之外,B/PWV均具有更小的RMS。相比较于Bevis和GPT3模型,利用FY-ETm模型反演的PWV精度更高,且在6个站点中F/PWV的年均Bias绝对值均小于0.2 mm,说明F/PWV与GNSS站得到的PWV值精度相当,由此表明,利用FY-ETm模型反演PWV能够获得优异的准确度和良好的稳定性。
| 测站 | Bias | RMS | |||||
| B/PWV | G/PWV | F/PWV | B/PWV | G/PWV | F/PWV | ||
| JLYJ | 0.15 | 0.13 | -0.01 | 0.32 | 0.37 | 0.35 | |
| GXWZ | -0.09 | 0.28 | 0.04 | 0.37 | 0.57 | 0.49 | |
| BFHR | 0.31 | 0.21 | 0.06 | 0.50 | 0.54 | 0.43 | |
| XICH | 1.07 | 1.40 | 0.18 | 1.54 | 1.79 | 1.24 | |
| WEIN | 0.43 | 1.13 | 0.03 | 0.69 | 1.29 | 0.64 | |
| BTNJ | 0.74 | 0.49 | -0.14 | 0.92 | 0.90 | 0.72 | |
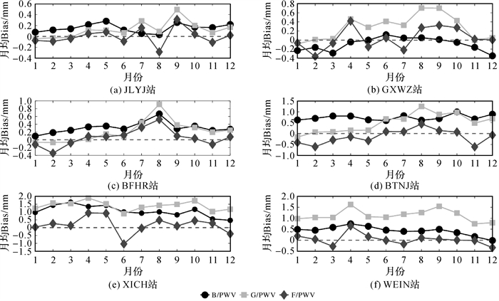
为进一步分析FY-ETm模型反演PWV的精度,统计6个站点不同Tm模型反演PWV的月均Bias,结果如图 10所示。图 10(a)表明,对于JLYJ站,全年期间G/PWV和F/PWV的月均Bias变化趋势基本一致,其中1—6月、11—12月G/PWV和F/PWV的月均Bias明显优于B/PWV,7—9月B/PWV的月均Bias明显优于G/PWV和F/PWV且Bias没有出现较大的变化幅度;图 10(b)表明,对于GXWZ站,全年期间B/PWV的月均Bias明显优于G/PWV和F/PWV,尤其是在4—10月B/PWV与GNSS站得到的PWV具有极高的吻合性,对于G/PWV和F/PWV,5—10月F/PWV的月均Bias明显优于G/PWV,1月、3月、11—12月G/PWV和F/PWV的月均Bias明显优于B/PWV;图 10(c)表明,对于BFHR站,相对于B/PWV和G/PWV,除2月之外全年期间F/PWV均表现出较小的月均Bias,其中1月、3—6月G/PWV和F/PWV的月均Bias基本一致且明显优于B/PWV,7—12月F/PWV的月均Bias明显优于B/PWV和G/PWV;图 10(d)表明,对于BTNJ站,1—5月G/PWV的月均Bias明显优于B/PWV和F/PWV,8月G/PWV表现出最大的月均Bias且大于1 mm,6—10月、12月F/PWV的月均Bias明显优于B/PWV和G/PWV,全年期间B/PWV的月均Bias均大于0.5 mm;图 10(e)、(f)表明,对于XICH和WEIN站,全年期间F/PWV的月均Bias明显优于B/PWV和G/PWV,尤其是在WEIN站的2月、6—11月F/PWV与GNSS站得到的PWV具有极高的吻合性,对于XICH站,1—6月G/PWV和B/PWV的月均Bias基本一致,7—12月B/PWV的月均Bias明显优于G/PWV,对于WEIN站,全年期间B/PWV的月均Bias明显优于G/PWV。总体而言,利用FY-ETm模型反演PWV与GNSS站得到的PWV值精度相当,且整体Bias变化范围为-0.5~0.5 mm,对于PWV月均Bias变化范围小于1.5 mm的站点(JLYJ、GXWZ和BFHR站),F/PWV相对于B/PWV和G/PWV仍能表现出一定的精度优势,且除JLYJ站的8月、GXWZ站的2月和BFHR站的2月之外,F/PWV均不会产生最大的月均Bias绝对值,对于PWV月均Bias变化范围大于1.5 mm的站点(BTNJ、XICH和WEIN站),相对于Bevis和GPT3模型,FY-ETm模型能够明显提高反演PWV的精度。
|
| 图 10 2020年部分站点PWV月均Bias Fig. 10 Monthly average PWV Bias of some sites in 2020 |
5 结论
针对现有Tm模型的参数、建模数据源有待优化及模型构建时仅依赖于单个探空站点或单一格网点数据等问题,本文提出融合FY-4A GIIRS数据与ERA5再分析资料,在此基础上引入滑动窗口算法对融合数据进行处理同时顾及经度、纬度和高程因子构建空间分辨率为0.5°×0.5°的Tm经验模型(FY-ETm模型)。联合未参与建模的2020年探空数据、ERA5再分析资料及ZTD产品对FY-ETm模型及其反演的PWV进行精度评定,并与广泛使用的Bevis模型和精度优异的GPT3模型(空间分辨率为1°×1°)进行精度对比。
结果表明:①相对于Bevis和GPT3模型,FY-ETm模型表现出了最优的准确度和稳定性,尤其是相对于准确度,FY-ETm模型体现出了显著的精度提升,即便是相对于精度优异的GPT3模型,在中国的西部和北部地区也表现出了明显的精度改善。②以探空数据为参考值,FY-ETm模型在各纬度范围内均表现出最优的准确度,GPT3和FY-ETm模型计算的Tm存在明显的季节性变化,其中夏、秋季较为稳定,春、冬季变化幅度较大。全年期间,相对于Bevis和GPT3模型,FY-ETm模型计算Tm的精度有显著改善,春季和冬季的稳定性次于Bevis模型。③以ERA5再分析资料为参考值,FY-ETm模型在各纬度范围内仍表现出最优的准确度,并表现出与Bevis模型相似的稳定性。全年期间,GPT3模型的准确度和稳定性显著降低,与利用探空数据评定精度的结果相同,FY-ETm模型在春季、夏季和秋季表现出优异的精度,在冬季计算Tm的精度次于Bevis模型。④以GNSS站点得到的PWV作为参考值,FY-ETm模型反演PWV与GNSS站得到的PWV值精度相当,在6个不同站点中利用FY-ETm模型反演PWV均能够获得最优异的准确度。
总体而言,FY-ETm模型的准确度优异稳定性良好,并且只需输入目标点的位置和时间信息就能获取目标点的Tm,因此,FY-ETm模型在GNSS水汽反演及其应用中具有重要的作用。由于FY-4A GIIRS数据在2019年后才趋于稳定,因此在接下来的工作中,将利用更多年份的FY-4A GIIRS数据参与建模以进一步完善FY-ETm模型。
致谢: 感谢风云卫星遥感数据服务网提供的FY-4A GIIRS大气温度廓线产品;感谢中国地震局GNSS数据产品服务平台(www.cgps.ac.cn)提供的ZTD产品;感谢ECMWF提供的ERA5产品;感谢美国国家气候数据中心提供的IGRA2产品。
| [1] |
姚宜斌, 张顺, 孔建. GNSS空间环境学研究进展和展望[J]. 测绘学报, 2017, 46(10): 1408-1420. YAO Yibin, ZHANG Shun, KONG Jian. Research progress and prospect of GNSS space environment science[J]. Acta Geodaetica et Cartographica Sinica, 2017, 46(10): 1408-1420. DOI:10.11947/j.AGCS.2017.20170333 |
| [2] |
张京朋. 中国区域大气水汽变化的观测、模拟及其归因研究[D]. 兰州: 兰州大学, 2019. ZHANG Jingpeng. Observation, simulation and attribution of atmospheric water vapor change over China[D]. Lanzhou: Lanzhou University, 2019. |
| [3] |
丁金才. GPS气象学及其应用[M]. 北京: 气象出版社, 2009. DING Jincai. GPS meteorology and its application[M]. Beijing: China Meteorological Press, 2009. |
| [4] |
李昊睿, 丁伟钰, 薛纪善, 等. 广东省GPS/PWV资料的质量控制及其对前汛期降水预报影响的初步研究[J]. 热带气象学报, 2014, 30(3): 455-462. LI Haorui, DING Weiyu, XUE Jishan, et al. A preliminary study on the quality control method for Guangdong GPS/PWV data and its effects on precipitation forecasts in the annually first raining season of Guangdong[J]. Journal of Tropical Meteorology, 2014, 30(3): 455-462. DOI:10.3969/j.issn.1004-4965.2014.03.06 |
| [5] |
朱玉香, 陈永贵, 安春华. 台风"利奇马"在山东期间的GPS-PWV动态特征[J]. 导航定位学报, 2020, 8(6): 103-108. ZHU Yuxiang, CHEN Yonggui, AN Chunhua. Dynamic characteristics of GPS-PWV during typhoon Lekima in Shandong Province[J]. Journal of Navigation and Positioning, 2020, 8(6): 103-108. DOI:10.3969/j.issn.2095-4999.2020.06.015 |
| [6] |
LUO Yu, GAO Wenjuan, LUO Linyan, et al. Analysis on the characteristics of GPS-PWV during heavy rainfall in Huaihua region[J]. Meteorological and Environmental Research, 2020, 11(3): 1-6, 11. |
| [7] |
BEVIS M, BUSINGER S, HERRING T A, et al. GPS meteorology: remote sensing of atmospheric water vapor using the global positioning system[J]. Journal of Geophysical Research, 1992, 97(D14): 15787. DOI:10.1029/92JD01517 |
| [8] |
黄良珂, 李琛, 谢劭峰, 等. 顾及垂直递减率的中国区域大气加权平均温度格点产品空间插值研究[J]. 武汉大学学报(信息科学版), 2023, 48(2): 295-300. HUANG Liangke, LI Chen, XIE Shaofeng, et al. Spatial interpolation of atmospheric weighted mean temperature grid products in China with consideration of vertical lapse rate[J]. Geomatics and Information Science of Wuhan University, 2023, 48(2): 295-300. |
| [9] |
姚宜斌, 孙章宇, 许超钤. Bevis公式在不同高度面的适用性以及基于近地大气温度的全球加权平均温度模型[J]. 测绘学报, 2019, 48(3): 276-285. YAO Yibin, SUN Zhangyu, XU Chaoqian. Applicability of Bevis formula at different height level and global weighted mean temperature model based on near-earth atmospheric temperature[J]. Acta Geodaetica et Cartographica Sinica, 2019, 48(3): 276-285. DOI:10.11947/j.AGCS.2019.20180160 |
| [10] |
莫智翔, 黎杏, 黄良珂, 等. 顾及多因子影响的中国西部地区大气加权平均温度模型精化研究[J]. 大地测量与地球动力学, 2021, 41(2): 145-151. MO Zhixiang, LI Xing, HUANG Liangke, et al. Refinement of atmospheric weighted mean temperature model considering the effects of multiple factors for Western China[J]. Journal of Geodesy and Geodynamics, 2021, 41(2): 145-151. |
| [11] |
李媛, 李黎, 张振, 等. 长三角地区分季节多因子本地化Tm模型研究[J]. 大地测量与地球动力学, 2020, 40(2): 140-145. LI Yuan, LI Li, ZHANG Zhen, et al. Research on seasonal and multifactor Tm model of weighted average temperature in Yangtze River Delta[J]. Journal of Geodesy and Geodynamics, 2020, 40(2): 140-145. |
| [12] |
范士杰, 刘兆健, 陈岩, 等. 青岛地区大气加权平均温度模型优化[J]. 地理空间信息, 2021, 19(9): 136-138, 146, 8. FAN Shijie, LIU Zhaojian, CHEN Yan, et al. Optimization of atmospheric weighted mean temperature model in Qingdao[J]. Geospatial Information, 2021, 19(9): 136-138, 146, 8. DOI:10.3969/j.issn.1672-4623.2021.09.035 |
| [13] |
徐铭泽, 郭秋英, 侯建辉, 等. 济南地区加权平均温度模型建立及精度分析[J]. 导航定位学报, 2021, 9(5): 142-151. XU Mingze, GUO Qiuying, HOU Jianhui, et al. Modeling and accuracy analysis of weighted mean temperature in Jinan region[J]. Journal of Navigation and Positioning, 2021, 9(5): 142-151. |
| [14] |
刘立龙, 万庆同, 周威, 等. 基于傅里叶级数的中国沿海地区Tm模型精化研究[J]. 大地测量与地球动力学, 2019, 39(11): 1137-1141. LIU Lilong, WAN Qingtong, ZHOU Wei, et al. Research on refinement of Tm model in China's coastal area based on Fourier series[J]. Journal of Geodesy and Geodynamics, 2019, 39(11): 1137-1141. |
| [15] |
LAGLER K, SCHINDELEGGER M, BÖHM J, et al. GPT2: Empirical slant delay model for radio space geodetic techniques[J]. Geophysical Research Letters, 2013, 40(6): 1069-1073. DOI:10.1002/grl.50288 |
| [16] |
BÖHM J, MÖLLER G, SCHINDELEGGER M, et al. Development of an improved empirical model for slant delays in the troposphere (GPT2w)[J]. GPS Solutions, 2015, 19(3): 433-441. DOI:10.1007/s10291-014-0403-7 |
| [17] |
LANDSKRON D, BÖHM J. VMF3/GPT3:refined discrete and empirical troposphere mapping functions[J]. Journal of Geodesy, 2018, 92(4): 349-360. DOI:10.1007/s00190-017-1066-2 |
| [18] |
黄良珂, 彭华, 刘立龙, 等. 顾及垂直递减率函数的中国区域大气加权平均温度模型[J]. 测绘学报, 2020, 49(4): 432-442. HUANG Liangke, PENG Hua, LIU Lilong, et al. An empirical atmospheric weighted mean temperature model considering the lapse rate function for China[J]. Acta Geodaetica et Cartographica Sinica, 2020, 49(4): 432-442. DOI:10.11947/j.AGCS.2020.20190168 |
| [19] |
姚宜斌, 孙章宇, 许超钤, 等. 顾及非线性高程归算的全球加权平均温度模型[J]. 武汉大学学报(信息科学版), 2019, 44(1): 106-111. YAO Yibin, SUN Zhangyu, XU Chaoqian, et al. Global weighted mean temperature model considering nonlinear vertical reduction[J]. Geomatics and Information Science of Wuhan University, 2019, 44(1): 106-111. |
| [20] |
黄良珂, 陈华, 刘立龙, 等. 一种新的高精度全球对流层天顶延迟模型[J]. 地球物理学报, 2021, 64(3): 782-795. HUANG Liangke, CHEN Hua, LIU Lilong, et al. A new high-precision global model for calculating zenith tropospheric delay[J]. Chinese Journal of Geophysics, 2021, 64(3): 782-795. |
| [21] |
杨雨晗, 尹球, 束炯. FY-4A大气垂直探测仪(GⅡRS)温度探测通道优选[J]. 红外与毫米波学报, 2018, 37(5): 545-552. YANG Yuhan, YIN Qiu, SHU Jiong. Channel selection of atmosphere vertical sounder (GⅡRS) onboard the FY-4A geostationary satellite[J]. Journal of Infrared and Millimeter Waves, 2018, 37(5): 545-552. |
| [22] |
王帅民. 基于GNSS和再分析资料的ZTD/PWV精度评定与模型构建方法研究[D]. 济南: 山东大学, 2021. WANG Shuaimin. Research on accuracy evaluation and model establishment of ZTD/PWV based on GNSS and reanalysis[D]. Jinan: Shandong University, 2021. |
| [23] |
王明华, 曹云昌, 梁宏, 等. 中国区域性大气加权平均温度线性模型精度评估[J]. 南京信息工程大学学报(自然科学版), 2021, 13(2): 161-169. WANG Minghua, CAO Yunchang, LIANG Hong, et al. On the accuracy of regional weighted mean temperature linear models over China[J]. Journal of Nanjing University of Information Science & Technology (Natural Science Edition), 2021, 13(2): 161-169. |
| [24] |
中国气象局. 常规高空气象观测业务规范[M]. 北京: 气象出版社, 2010. China Meteorological Administration. Operational norms for routine upper-air meteorological observation[M]. Beijing: Meteorological Publishing House, 2010. |
| [25] |
龙凤阳, 胡伍生, 杨雪晴. 基于误差补偿的中国区域加权平均温度模型研究[J]. 测绘工程, 2021, 30(5): 1-6. LONG Fengyang, HU Wusheng, YANG Xueqing. Research on the model of weighted mean temperature in China based on error compensation[J]. Engineering of Surveying and Mapping, 2021, 30(5): 1-6. |
| [26] |
HUANG Liangke, LIU Lilong, CHEN Hua, et al. An improved atmospheric weighted mean temperature model and its impact on GNSS precipitable water vapor estimates for China[J]. GPS Solutions, 2019, 23(2): 51. |
| [27] |
SAASTAMOINEN J. Contributions to the theory of atmospheric refraction[J]. Bulletin Géodésique, 1973, 107(1): 13-34. |
| [28] |
DAVIS J L, HERRING T A, SHAPIRO I I, et al. Geodesy by radio interferometry: effects of atmospheric modeling errors on estimates of baseline length[J]. Radio Science, 1985, 20(6): 1593-1607. |
| [29] |
王勇, 刘严萍. 地基GPS气象学原理与应用研究[M]. 北京: 测绘出版社, 2012. WANG Yong, LIU Yanping. Theory and application of ground-based GPS meteorology[M]. Beijing: Surveying & Mapping Press, 2012. |



