2. 西南交通大学地球科学与环境工程学院, 四川 成都 611756;
3. 中国地震局地震预测研究所, 北京 100036
2. Faculty of Geosciences and Environmental Engineering, Southwest Jiaotong University, Chengdu 611756, China;
3. Institute of Earthquake Forecasting, China Earthquake Administration, Beijing 100036, China
利用GNSS观测技术开展地壳变形运动学特征和动力学机制的研究已在全球范围内多个地区得到有效应用[1-4]。该研究中重要的基础工作是通过对GNSS坐标时间序列建立数学模型[5-7],提取出测站与构造变形相关的信息[8-9],其中函数模型中主要包含长期构造运动、周期性非构造运动、阶跃(同震位移或其他因素)和震后位移4项,本文称之为传统函数模型;随机模型主要考虑的观测噪声包括白噪声和有色噪声[10-11],并且方差是与时间相关的可变量[12]。然而,随着GNSS测站空间密度和数据积累时长的不断增加,多个测站的坐标时间序列显示传统函数模型已经无法准确地解释时间序列中观测到的与构造运动相关的所有信息。如图 1所示,位于青藏高原东北隅的宁夏海原GNSS测站(NXHY),坐标时间序列垂直分量的观测值与传统函数模型值存在较大差异。
|
| 图 1 GNSS测站NXHY垂直向坐标时间序列观测值与传统函数模型对其拟合的模型值 Fig. 1 Observed and modelled coordinate time series of vertical component of GNSS station NXHY |
基于GNSS资料开展与地震相关的地壳运动异常特征分析的理论基础正是其中可能存在着与地震相关的震前地壳形变异常信息[13-16]。文献[17—18]发现在多个大地震发生之前均存在大范围的地壳运动异常现场;文献[19—20]通过对GNSS时间序列的回溯分析,发现大地震发生之前普遍存在震中附近GNSS时间序列中的线性趋势发生变化的现象。以上研究已关注到大地震震前的地壳形变异常现象,但缺少对该异常信息的有效提取,而如何精准有效地提取GNSS坐标时间序列中构造运动发生变化的相关信息是本文研究的关键。
本文首先构建表征GNSS坐标时间序列构造运动变化特征的改进函数模型,引入基于贝叶斯框架的马尔可夫链·蒙特卡洛算法,自适应性解算模型参数后验概率密度函数,获得参数最优解及其误差;然后,试验模型不同观测噪声水平和不同分段线性速率差值的坐标时间序列,通过分析模型参数的真误差(最优解与理论值之差),给出当前GNSS定位精度下线性速率和时间节点的精度;最后,利用青藏高原东北隅实测GNSS数据对本文方法的有效性进行验证,并对区域构造运动的时空变化特征进行分析。
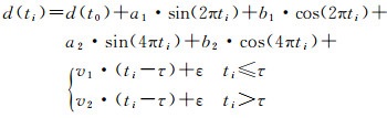
1 GNSS坐标时间序列函数模型 1.1 传统函数模型GNSS连续站坐标时间序列传统函数模型中应包含测站长期构造运动的震间线性速率、年周期和半年周期的非构造变形、更换天线或观测环境改变等引起的阶跃,如果在观测时段内测站观测到地震引起的变形,则还应包括同震和震后位移[5]。由于本文聚焦于研究构造变形及其变化特征,并且所采用的数据不涉及阶跃、同震和震后位移,因此模型如式(1)所示
(1)
式中,d(ti)为ti时刻观测位移;d(t0)为初始时刻位移;v为线性速率;a1、b1为年周期项振幅;a2、b2为半年周期项振幅;ε为观测数据误差。基于最小二乘算法和误差传播定律,可以计算出式(1)中6个参数的平差值及其中误差,获得测站的长期线性速率和周期性非构造变形,进而开展地壳运动学特征和动力学机制的研究。
1.2 改进函数模型通过对实测GNSS坐标时间序列分析,传统函数模型对其进行拟合的主要不足在于代表测站震间期运动的单个线性速率项无法准确表达时间序列中构造运动随时间变化的特征(图 1)。因此,本文将传统模型中表征长期构造运动特征的线性部分进行改进,利用包含两段线性速率的函数模型代表残余时间序列中(从原始时间序列中扣除传统函数模型值后的量)可能存在的与构造运动有关的信息,如式(2)所示
(2)
式中,db(ti)为ti时刻残余位移,db(t0)为初始时刻残余位移;τ为线性速率变化的时间节点;v1、v2为残余的分段线性的2个速率。式(2)通过对时间项进行平移,保证模型值的连续性。综合式(1)和式(2)得到改进函数模型
(3)
式中,d(ti)为ti时刻观测位移;ε为观测数据误差,待求的参数有8个;d(t0)为初始时刻位移;a1、b1为年周期项振幅;a2、b2为半年周期项振幅;τ为线性速率变化的时间节点;v1、v2为分段线性的两个速率。
2 基于贝叶斯框架的函数模型参数自适应解算方法函数模型参数的求解通常采用最小二乘算法,利用误差传播定律求解参数的平差值及其中误差,由于该方法将待求参数看作非随机参数,因此其随机模型的理论是不完备的,同时在解算非线性问题时可能存在无法收敛的缺陷。本文引入基于贝叶斯框架的参数解算方法,充分考虑观测数据和参数的随机特征,优点在于利用参数的后验概率密度函数准确计算出参数的置信区间[21-22]。
2.1 基于贝叶斯框架的参数解算基本原理本文将式(1)至式(3)所示的两种函数模型统一表示为式(4)所示的一般形式
(4)
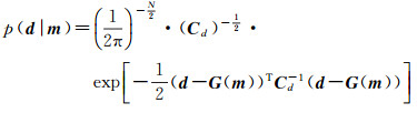
式中,d为观测数据;m为模型参数;G为模型参数与观测数据之间的函数关系;ε为观测数据误差。由贝叶斯框架的参数解算原理可知,参数的后验概率密度p(m|d)与观测数据的条件概率密度和参数的先验概率密度乘积成正比
(5)
式中,m为模型参数;p(m)为模型参数m的先验概率密度函数,体现出模型参数的随机特征;p(d|m)为给定模型参数m的条件下观测数据d的后验概率密度函数
(6)
式中,Cd为观测数据的方差-协方差矩阵,在建模时用权矩阵代替;N为GNSS坐标时间序列中观测值的数量。对于模型参数的先验概率密度函数p(m),采用有限范围的均值概率密度函数
(7)
式中,b和a为每个参数取值范围上下界所组成的向量,可根据已有的先验信息给定。
2.2 函数模型参数最优解解算马尔可夫链·蒙特卡洛采样方法(Markov chain Monte Carlo,MCMC)是一个实现贝叶斯框架参数解算的有效方法,由文献[23]提出GWMCMC是仿射不变集合的MCMC算法,克服了传统MCMC采样算法收敛速率慢和只能适用于低维参数采样的问题,通过构建模型参数的样本空间和经过一定数量的燃烧之后,获得满足观测数据和建模条件的模型参数后验概率密度函数和最优解。
本文引入GWMCMC算法进行参数解算,在整个计算过程中未引入任何假设条件,也未对分段线性的时间节点做任何限制,保证算法能够自适应地提取出构造运动随时间变化的参数最优解。通过模拟试验,证明代表非构造运动特征的年周期和半年周期振幅参数最优解不会随着采用的是传统函数模型还是改进函数模型的变化而变化。因此为了提高参数解算效率,拟定的具体参数解算步骤如下。
(1) 基于式(1)对GNSS坐标时间序列进行建模,获得该函数模型的参数最优解。
(2) 利用步骤(1)求解的模型参数最优解,构建GNSS坐标时间序列模型值,将其从观测值扣除之后获取仅包含可能的构造运动变化信息的残余坐标时间序列。
(3) 利用步骤(2)获得的残余坐标时间序列,基于式(2)求得参数后验概率密度函数,从而自适应提取出GNSS坐标时间序列中存在的构造运动变化。
3 GNSS观测数据噪声对传统函数模型解算参数精度的影响通过模拟试验,分析观测数据噪声对传统函数模型参数解算精度的影响。具体试验方法为针对传统函数模型设置一组参数理论值,建立坐标时间序列的理论值,通过在理论值中加入不同标准差的观测资料,获取不同观测噪声的坐标时间序列。加入的观测噪声是均值为0.0mm、步长为0.5mm、标准差为0.5~5.0mm的高斯白噪声。基于不同噪声水平的坐标时间序列解算模型参数的最优解,通过其与理论值对比,获得模型参数真误差,分析观测数据噪声对函数模型参数值计算结果的影响。为了获得可靠的结果,利用相同方法模拟100组坐标时间序列,并计算参数的真误差,结果如图 2所示,各参数的定义见式(1)。
|
| 图 2 试验模拟不同数据噪声水平下模型参数真误差分布 Fig. 2 True errors of model parameters under different values of data noises by simulation experiment |
结果显示,随着坐标时间序列中白噪声标准差的增加,模型参数的真误差也会增加。对于周期项振幅,当观测噪声标准差超过3.0mm时,其真误差将会超过±0.1mm,而对于测站速率,即便是观测数据噪声达到5.0mm,其真误差也总是保持在±0.1mm/a以内。考虑到目前GNSS单日解水平分量的定位精度为±3.0mm[24],则可知获得的测站水平分量长期构造运动的线性速率精度为0.1mm/a。
4 改进函数模型构造运动变化敏感性分析通过进一步模拟试验可知,基于改进函数模型进行坐标时间序列建模时,可分辨出分段线性速率变化的最小值、线性速率和时间节点的精度。试验思路为首先构建标准差步长为0.5mm、0.5~5.0mm的10个白噪声时间序列;然后给定分段线性模型参数值,使线性速率v1、v2间的差值为以0.1mm为步长、0.1~5.0mm的50个值,模拟出不同分段线性速率差值和不同观测噪声水平的500组坐标时间序列;最后计算模型参数的最优解。为了获得可靠的结果,采用同样方法进行100次模拟试验,参数真误差分布如图 3所示,不同颜色代表模型参数真误差的大小,空值表示马尔可夫链无法进行收敛,此时无法获取参数最优解。
|
| 图 3 改进函数模型中速率参数的真误差分布 Fig. 3 True errors distribution of rate parameters of modified functional model |
首先,分析可分辨出分段线性速率变化的最小值。当分段线性速率差值为0.1mm/a时,即便数据中只存在标准差为0.5mm的观测误差,也无法获得参数的最优解;当分段线性速率差值为0.2mm/a时,观测数据噪声在1.0mm以内时才能够获得参数的最优解;当分段线性速率差值为0.3mm/a时,观测数据噪声在2.0mm以内时能够获得参数的最优解;当分段线性速率差值在0.4mm/a时,此时观测数据噪声只要在3.5mm以内时,便可以获得参数的最优解。由此可知,随着观测噪声量值的增加,可以计算出参数最优解的下限也增加,在当前GNSS单日解水平分量为3.0mm定位精度水平下,可以在东西或南北分量上分辨出差异在0.4mm/a及以上的构造运动变化信息。
然后,分析线性速率参数最优解的精度,对模拟试验观测噪声3.0mm以内、两段线性速率的真误差进行统计分析,如图 4所示。随着观测噪声的增加,模型参数真误差的量值也随之增加,图中红点表示真误差大于0.1mm/a,占7.4%,且其个数随着观测噪声量值的增加而增加。在所有的模拟试验中,有92.6%的真误差量值在±0.1mm/a以内,这与利用传统模型进行模拟分析时得到的线性速率精度为0.1mm/a的结论是一致的,因此认为构造运动速率的精度为0.1mm/a。
|
| 图 4 改进函数模型中不同观测数据噪声下的线性速度真误差分布 Fig. 4 True errors distribution of linear rates of modified functional model under different value of data noises |
最后,分析分段线性速率变化时间节点的精度,如图 5所示,空白区域表示时间节点马尔可夫链无法收敛或时间节点真误差量值超过了1.0a。随着观测数据噪声的增加,时间节点真误差也明显增加,在标准差为3.0mm以内的观测噪声水平下,只有当分段线性速率之差达到0.4mm/a及以上时,才存在时间节点参数收敛的马尔可夫链,获得时间节点的最优解。时间节点真误差的分布显示其量值随着分段线性速率差值的增加而明显减小,减小的区间主要发生在分段线性速率差值在1.5mm/a以内的范围,量值从1.0a降到了0.2a;而超过1.5mm/a时其量值基本趋于稳定,保持在-0.2~0.2a之间的范围波动。由此可知,时间节点与分段线性速率差值的量值存在相关性,在目前的GNSS定位精度下,当分段线性速率之差为0.4mm/a时,坐标时间序列水平分量线性速率变化的时间节点精度为1.0a,但如果分段线性速率之差超过1.5mm/a,则其精度可提高到0.2a。
|
| 图 5 改进函数模型中时间节点真误差分布 Fig. 5 True errors distribution of time node of modified functional model |
进一步通过模拟试验对传统函数模型和改进函数模型在构建GNSS坐标时间序列模型时的异同进行分析。试验模拟一条观测噪声为2.0mm、且含有构造运动变换信息的坐标时间序列,具体参数和两种函数模型的参数最优解见表 1。由表 1可知,改进函数模型的最优解与理论值一致,而传统函数模型由于在整个观测时期仅考虑单个线性速率,导致得到的测站速率与理论值存在较大差距。由此证明当GNSS坐标时间序列中存在构造运动随时间变化的信息时,改进函数模型能够精准提取出与构造相关的所有信息。
| 参数 | 理论值 | 传统函数模型值 | 改进函数模型值 |
| a1/mm | 4.0 | 4.02 | 4.03 |
| b1/mm | 2.0 | 1.91 | 1.91 |
| a2/mm | 1.6 | 1.50 | 1.51 |
| b2/mm | -2.0 | -2.07 | -2.07 |
| τ/a | 3.0 | - | 3.06 |
| v1/(mm/a) | 1.5 | 3.31 | 1.66 |
| v2/(mm/a) | 5.1 | 3.31 | 5.08 |
利用两种模型参数最优解构建坐标时间序列的模型值,结果如图 6所示,其中改进函数模型值和传统函数模型值计算的标准差分别为1.99mm和2.51mm,从数据统计的角度证明改进函数模型值对原始试验模拟观测值的拟合效果更好。
|
| 图 6 试验模拟观测值和两种函数模型计算值 Fig. 6 The simulated observations and corresponding calculated values by two functional model |
5 青藏高原东北隅构造运动及其时空变化特征
利用青藏高原东北隅实测GNSS观测数据对改进函数模型的有效性进行验证。观测数据来自中国大陆构造环境监测网络(简称“CMONOC”)[25-26]和六盘山地区的GNSS加密观测网(简称“LPGNSS”),由积累时长超过5年的35个测站组成。所有测站均使用满足地壳形变观测精度的大地型GNSS接收机和扼流圈天线,利用GAMIT/GLOBK软件对观测数据进行高精度统一解算[27-28],解算过程中的参数设置见文献[24],获得的LP10测站坐标时间序列如图 7所示。
|
| 图 7 LP10测站坐标时间序列 Fig. 7 Coordinate time series at GNSS station LP10 |
5.1 传统函数模型计算的长期构造运动特征
基于传统函数模型获取测站东西、南北和垂直3个分量的后验概率密度,计算出参数的最优解及其误差。图 8为LP10测站东西分量的马尔可夫链和后验概率密度分布,图 8(a)为经过燃烧之后模型参数的马尔可夫链,可以看出燃烧后的参数样本已达到平稳状态,说明模型参数已收敛到其后验概率密度函数;图 8(b)为利用马尔可夫链计算的每一个模型参数的后验概率密度函数和两参数之间的联合概率密度,从联合概率密度图可以看出,线性速率与截距存在负相关性,其余参数间相关性较弱。
|
| 图 8 LP10测站东西分量传统函数模型参数解算结果 Fig. 8 The calculated parameters of traditional functional model of east-west component at station LP10 |
图 9给出青藏高原东北隅GNSS连续观测站水平向和垂直向速度场,参考框架为ITRF2014。速度场东西分量的平均值为34.3mm/a,变化范围为31.0~40.4mm/a;南北分量的平均值为-7.9mm/a,变化范围为-10~-1.8mm/a;垂直分量的平均值为-0.1mm/a,变化范围为-4.2~3.2mm/a,速度场的空间分布特征与已有结果较为一致[21]。
|
| 图 9 基于传统函数模型解算的青藏高原东北隅GNSS速度场 Fig. 9 GNSS velocity field on northeastern corner of Tibetan Plateau based on traditional functional model |
5.2 改进函数模型计算的构造运动变化特征
利用本文提出的改进函数模型和残余GNSS坐标时间序列,获取测站东西、南北和垂直3个分量的后验概率密度,计算出速度变化时间节点和变化前后的线性速率最优解及其误差。图 10给出NXHY测站垂直分量的马尔可夫链和后验概率密度分布,从联合概率密度函数可以看出,时间节点与前后速率之间均存在相关性。
|
| 图 10 NXHY测站垂直分量改进函数模型参数解算结果 Fig. 10 The calculated parameters of modified functional model of vertical component at station LP10 |
以分段线性速率变化量超过最小分辨量值0.4mm/a作为其存在显著变化的依据,对35个测站的统计显示东西向、南北向和垂直向线性速率存在显著变化的测站分别有18、23和25个,结果表明相比传统函数模型,改进函数模型能够更加准确地提取出GNSS坐标时间序列中包含的构造运动变化信息。对水平分量构造运动时空变化特征进一步分析,在18个东西分量和23个南北分量存在明显分段线性特征的测站中,有的测站同时存在东西分量和南北分量的分段线性。以某个测站只要存在单个分量的分段线性变化便认为该测站存在构造运动变化为标准,发现有24个测站存在显著的构造运动变化(图 11)。
|
| 图 11 青藏高原东北隅GNSS测站分段线性速率变化分布 Fig. 11 The distribution map of piecewise linear rate change at GNSS stations on northeastern corner of Tibetan Plateau |
在同时存在东西向和南北向分段线性速率变化的测站中,以较早的时间节点为该测站构造运动变化的时间节点,统计结果见表 2。其中发生构造运动变化最早的测站为GSQS,时间为2014年第81天,最晚的测站为GSPL,时间为2019年第203天,主要集中在2017年。构造运动变化的时空分布如图 11所示,在该区域相对于鄂尔多斯块体北东向构造运动的背景下[24],构造运动时空变化的主要特征为东向运动和北向运动有所减缓,集中在青藏高原东北隅最前沿区域,表明青藏高原东北隅东北向扩展的运动学趋势有所减缓,其动力学机制还需进一步深入研究。
| 测站名 | 经度/(°) | 纬度/(°) | 东西向/(mm/a) | 南北向/(mm/a) | 时间节点/a |
| GSDX | 104.60 | 35.55 | -1.5 | -1.1 | 2017.588 |
| GSGL | 102.89 | 37.45 | -1.4 | -0.4 | 2017.500 |
| GSJN | 105.76 | 35.53 | -0.9 | -2.1 | 2016.158 |
| GSJT | 104.06 | 37.18 | -1.4 | -0.7 | 2017.616 |
| GSLX | 104.65 | 34.99 | -0.6 | -1.1 | 2018.764 |
| GSMA | 102.06 | 34.02 | -0.6 | -0.4 | 2017.247 |
| GSMQ | 103.09 | 38.63 | 0.0 | 1.4 | 2019.557 |
| GSMX | 104.02 | 34.43 | -0.6 | -0.4 | 2018.658 |
| GSPL | 106.59 | 35.55 | 0.0 | 1.3 | 2019.476 |
| GSQS | 106.21 | 34.75 | 0.0 | -1.0 | 2014.222 |
| LP01 | 105.18 | 36.06 | 0.0 | -1.8 | 2017.526 |
| LP02 | 105.61 | 35.97 | -0.9 | -1.0 | 2018.573 |
| LP03 | 105.81 | 35.96 | -1.0 | -1.0 | 2017.710 |
| LP05 | 106.10 | 35.92 | -0.7 | -1.0 | 2017.598 |
| LP06 | 106.24 | 35.92 | -1.6 | -0.7 | 2017.624 |
| LP07 | 106.45 | 35.86 | -1.1 | -0.9 | 2017.739 |
| LP08 | 106.65 | 35.81 | 0.0 | -1.8 | 2017.652 |
| LP09 | 105.93 | 36.28 | -1.7 | -0.5 | 2017.676 |
| LP10 | 105.69 | 36.28 | -0.9 | 1.4 | 2015.908 |
| NXHY | 105.65 | 36.55 | -0.3 | -0.5 | 2017.473 |
| NXYC | 106.27 | 38.49 | 1.1 | -0.7 | 2017.492 |
| NXZW | 105.24 | 37.59 | -1.2 | -0.8 | 2017.680 |
| SNTB | 107.32 | 34.06 | -1.4 | 0.0 | 2018.172 |
| SNXY | 108.39 | 35.17 | 0.0 | -1.1 | 2017.151 |
6 结论
随着GNSS测站空间密度和数据积累时长的不断增加,现有进行GNSS坐标时间序列拟合的传统函数模型已经在很多测站不具有普遍适用性。为此,本文提出了构建GNSS测站构造运动随时间变化的改进函数模型,引入贝叶斯框架的参数解算方法自适应提出包括构造运动变化时间节点的参数最优解,利用青藏高原东北隅实测GNSS观测数据对方法有效性进行验证。
对比传统函数模型,本文构建的包含两段线性速率的改进函数模型能够更加准确地提取出GNSS坐标时间序列中包含的构造运动变化信息;通过试验模拟不同噪声水平和不同线性分段速率差值的坐标时间序列,给出测站线性速率的精度为0.1mm/a,可分辨出构造运动变化的最小量值为0.4mm/a,构造运动变化时间节点的精度为1.0a;基于改进函数模型对青藏高原东北隅GNSS连续观测站坐标时间序列进行建模,在位于构造最前沿的区域提取出始于2017年的东北向长期构造运动减缓的运动学特征。
致谢: 感谢中国地震台网中心提供的中国大陆构造环境监测网络GNSS观测数据,感谢两位审稿专家提出的宝贵意见。
| [1] |
党亚民, 杨强, 王伟, 等. 基于块体模型的青藏高原及邻区地壳三维构造形变分析[J]. 测绘学报, 2022, 51(7): 1192-1205. DANG Yamin, YANG Qiang, WANG Wei, et al. Analysis on 3D crustal deformation of Qinghai-Tibet Plateau and its surrounding areas based on block model[J]. Acta Geodaetica et Cartographica Sinica, 2022, 51(7): 1192-1205. DOI:10.11947/j.AGCS.2022.20220123 |
| [2] |
LIANG Shiming, GAN Weijun, SHEN Chuanzheng, et al. Three-dimensional velocity field of present-day crustal motion of the Tibetan Plateau derived from GPS measurements[J]. Journal of Geophysical Research: Solid Earth, 2013, 118(10): 5722-5732. DOI:10.1002/2013JB010503 |
| [3] |
王阅兵, 甘卫军, 陈为涛, 等. 北斗导航系统精密单点定位在地壳运动监测中的应用分析[J]. 测绘学报, 2018, 47(1): 48-56. WANG Yuebing, GAN Weijun, CHEN Weitao, et al. The analysis of precise point positioning of BeiDou navigation satellite system application in crustal motion monitoring[J]. Acta Geodaetica et Cartographica Sinica, 2018, 47(1): 48-56. DOI:10.11947/j.AGCS.2018.20170147 |
| [4] |
GAN Weijun, MOLNAR P, ZHANG Peizhen, et al. Initiation of clockwise rotation and eastward transport of southeastern Tibet inferred from deflected fault traces and GPS observations[J]. GSA Bulletin, 2022, 134(5/6): 1129-1142. |
| [5] |
WILLIAMS S D P. Error analysis of continuous GPS position time series[J]. Journal of Geophysical Research, 2004, 109(B3): B03412. |
| [6] |
杨兵, 杨志强, 田镇, 等. 联合EMD-HD和小波分解的GNSS坐标时间序列降噪分析[J]. 测绘学报, 2022, 51(9): 1881-1889. YANG Bing, YANG Zhiqiang, TIAN Zhen, et al. Denoising analysis of GNSS coordinate time series by combining EMD-HD and wavelet decomposition[J]. Acta Geodaetica et Cartographica Sinica, 2022, 51(9): 1881-1889. DOI:10.11947/j.AGCS.2022.20210175 |
| [7] |
姜卫平, 李昭, 刘鸿飞, 等. 中国区域IGS基准站坐标时间序列非线性变化的成因分析[J]. 地球物理学报, 2013, 56(7): 2228-2237. JIANG Weiping, LI Zhao, LIU Hongfei, et al. Cause analysis of the non-linear variation of the IGS reference station coordinate time series inside China[J]. Chinese Journal of Geophysics, 2013, 56(7): 2228-2237. |
| [8] |
郝明, 王庆良. GNSS空间大地测量技术在中国大陆活动地块划分中的应用和研究进展[J]. 地震地质, 2020, 42(2): 283-296. HAO Ming, WANG Qingliang. Progress in application of GNSS to division of active tectonic blocks in continental China[J]. Seismology and Geology, 2020, 42(2): 283-296. DOI:10.3969/j.issn.0253-4967.2020.02.003 |
| [9] |
王鹏, 刘静, 刘小利, 等. GNSS在地表过程研究中的应用[J]. 武汉大学学报(信息科学版), 1-24. WANG Peng, LIU Jing, LIU Xiaoli, et al. Application of GNSS in the study of earth surface processes[J]. Geomatics and Information Science of Wuhan University, 1-24. DOI:10.13203/j.whugis20220113 |
| [10] |
ZHANG Jie, BOCK Y, JOHNSON H, et al. Southern California permanent GPS geodetic array: error analysis of daily position estimates and site velocities[J]. Journal of Geophysical Research: Solid Earth, 1997, 102(B8): 18035-18055. DOI:10.1029/97JB01380 |
| [11] |
MAO Ailin, HARRISON C G A, DIXON T H. Noise in GPS coordinate time series[J]. Journal of Geophysical Research: Solid Earth, 1999, 104(B2): 2797-2816. DOI:10.1029/1998JB900033 |
| [12] |
WANG Leyang, WU Qiwen, WU Fei, et al. Noise content assessment in GNSS coordinate time-series with autoregressive and heteroscedastic random errors[J]. Geophysical Journal International, 2022, 231(2): 856-876. DOI:10.1093/gji/ggac228 |
| [13] |
梅世蓉. 地震前兆场物理模式与前兆时空分布机制研究(三): 强震孕育时地震活动与地壳形变场异常及机制[J]. 地震学报, 1996, 18(2): 170-178. MEI Shirong. Study on the physical mode and spatial-time distribution mechanism of earthquake precursor field(3): abnormal phenomenon and its mechanism of earthquake activity and crustal deformation[J]. Acta Seismologica Sinica, 1996, 18(2): 170-178. |
| [14] |
顾国华, 王武星. GNNS观测与大地震前兆地壳形变研究进展[J]. 科技成果管理与研究, 2020, 15(12): 85-86. GU Guohua, WANG Wuxing. GNNS observation and research progress of crustal deformation before large earthquakes[J]. Management and Research on Scientific & Technological Achievements, 2020, 15(12): 85-86. DOI:10.3772/j.issn.1673-6516.2020.12.025 |
| [15] |
吴云, 韩键, 于品清. 中长期地震危险区地壳形变场标志的研究[J]. 地壳形变与地震, 1994(2): 28-34. WU Yun, HAN Jian, YU Pinqing. Study on characteristics of crustal deformation field of seismic risk area in longintermediate period[J]. Crustal Deformation and Earthquake, 1994(2): 28-34. |
| [16] |
杨建文, 张鹏映, 何应文, 等. 2014年云南地区GNSS最大剪应变格网时序异常与M≥6.0地震关系分析[J]. 大地测量与地球动力学, 2020, 40(5): 446-451. YANG Jianwen, ZHANG Pengying, HE Yingwen, et al. Analysis of the relationship between GNSS maximum shear strain grid time series anomaly and M≥6.0 earthquakes in Yunnan region, 2014[J]. Journal of Geodesy and Geodynamics, 2020, 40(5): 446-451. |
| [17] |
CHENC H, SU X, CHENG K C, et al. Seismo-deformation anomalies associated with the M6.1 Ludian earthquake on August 3, 2014[J]. Remote Sensing, 2020, 12(7): 1067. DOI:10.3390/rs12071067 |
| [18] |
CHENC H, LIN L C, YEH T K, et al. Determination of epicenters before earthquakes utilizing far seismic and GNSS data: insights from ground vibrations[J]. Remote Sensing, 2020, 12(19): 3252. DOI:10.3390/rs12193252 |
| [19] |
顾国华, 王武星. 2016年新西兰7.8级大地震GPS观测结果与弹性回跳模型[J]. 武汉大学学报(信息科学版), 2017, 42(11): 1673-1680. GU Guohua, WANG Wuxing. Results of GPS observations for M7.8 earthquake in 2016 in New Zealand and discussion on elastic rebound model[J]. Geomatics and Information Science of Wuhan University, 2017, 42(11): 1673-1680. |
| [20] |
顾国华. 2016年日本九州岛7.3级地震前及同震地壳运动[J]. 地震, 2017, 37(3): 28-37. GU Guohua. Pre-and Co-seismic crustal movements of the 16 April, 2016 Kyushu M7.3 earthquake, Japan[J]. Earthquake, 2017, 37(3): 28-37. |
| [21] |
WANG Leyang, SUN Longxiang, XU Guangyu. An improved Bayesian von Karman regularization method for the joint inversion of GNSS and InSAR data[J]. Journal of Surveying Engineering, 2023, 149(1): 04022016. |
| [22] |
WANG Leyang, SUN Longxiang, XU Guangyu. An improved Bayesian von Karman regularization method for the joint inversion of GNSS and InSAR data[J]. Journal of Surveying Engineering, 2022, 148(2): 04021032. |
| [23] |
GOODMAN J, WEARE J. Ensemble samplers with affine invariance[J]. Communications in Applied Mathematics and Computational Science, 2010, 5(1): 65-80. |
| [24] |
SU Xiaoning, YAO Lianbi, WU Weiwei, et al. Crustal deformation on the northeastern margin of the Tibetan Plateau from continuous GPS observations[J]. Remote Sensing, 2018, 11(1): 34. |
| [25] |
王琪, 牛之俊, 石俊成. 中国地壳运动观测网络基本网观测精度研究[J]. 大地测量与地球动力学, 2003, 23(3): 9-13. WANG Qi, NIU Zhijun, SHI Juncheng. Observation precision of basic network of CMONOC[J]. Journal of Geodesy and Geodynamics, 2003, 23(3): 9-13. |
| [26] |
甘卫军, 李强, 张锐, 等. 中国大陆构造环境监测网络的建设与应用[J]. 工程研究: 跨学科视野中的工程, 2013, 4(4): 324-331. GAN Weijun, LI Qiang, ZHANG Rui. Construction and application of tectonic and environmental observation network of mainland China[J]. Journal of Engineering Studies, 2013, 4(4): 324-331. |
| [27] |
HERRING T A, KING R W, MCCLUSKY S C. GLOBK reference manual: global Kalman filter VLBI and GPS analysis program, release 10.6[R]. Massachusetts Institute of Technology: Cambridge, MA, 2015.
|
| [28] |
HERRING T A, KING R W, MCKLUSKY S C. GAMIT reference manual: GPS analysis at MIT, Version 10.7[R]. Massachusetts Institute of Technology: Cambridge, MA, 2018.
|



