
测绘学报 ›› 2025, Vol. 54 ›› Issue (6): 982-994.doi: 10.11947/j.AGCS.2025.20240451
收稿日期:2024-11-05
修回日期:2025-05-12
出版日期:2025-07-14
发布日期:2025-07-14
通讯作者:
胡超
E-mail:wqx@cumt.edu.cn;chaohu2014gnss@163.com
作者简介:王潜心(1980—),男,博士,教授,研究方向为卫星大地测量数据处理。E-mail:wqx@cumt.edu.cn
基金资助:
Qianxin WANG1(
), Chao HU2,3(
), Tong CHENG1
Received:2024-11-05
Revised:2025-05-12
Online:2025-07-14
Published:2025-07-14
Contact:
Chao HU
E-mail:wqx@cumt.edu.cn;chaohu2014gnss@163.com
About author:WANG Qianxin (1980—), male, PhD, professor, majors in satellite geodesy data processing. E-mail: wqx@cumt.edu.cn
Supported by:摘要:
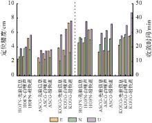
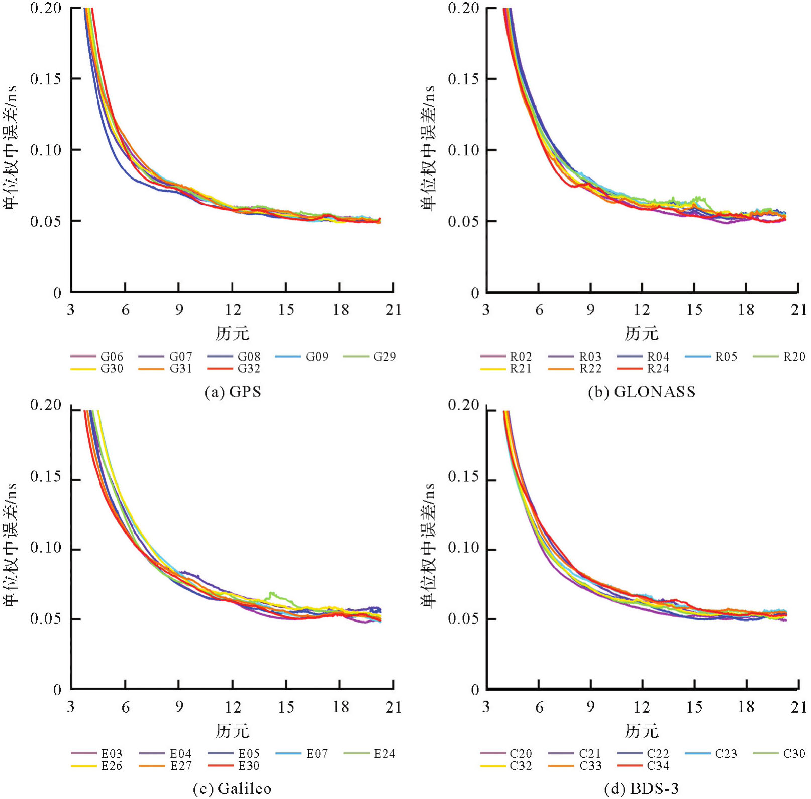
多系统超快速卫星轨道与钟差产品正被广泛应用于实时与近实时等快速位置服务中。但受参数处理时效性与数据质量限制,超快速精密定轨模型中未顾及轨道钟差参数相关性影响,且无法充分利用星载原子钟信息。本文提出一种基于GNSS钟差参数先验信息的超快速轨道钟差产品估计方法。首先,固定卫星轨道参数,利用相位时间差分算法,单历元滑动解算GNSS钟差;然后,构建卫星钟差短时预报模型,提取星载原子钟先验信息,模型化卫星钟差参数;最后,约束定轨方程中卫星钟差参数,建立超快速轨道钟差估计增强模型。试验结果表明,轨道钟差联合处理中参数间存在显著相关性,且在固定轨道参数条件下,可实现较传统超快速卫星钟差产品估计精度提升30.9%~50.7%的效果;构建卫星钟差参数先验约束,可提升超快速轨道毫米级精度,且钟差解算精度可至少提升了32.9%;静态PPP结果显示,本文估计的多系统超快速轨道钟差参数分别提升了E、N与U方向定位精度9.9%、16.9%与9.3%。因此,本文提出的轨道钟差解算方法可有效改善多系统超快速轨道钟差产品性能,为高质量快速定位服务提供支撑。
中图分类号:
王潜心, 胡超, 程彤. 基于GNSS钟差参数先验信息的超快速轨道钟差估计方法[J]. 测绘学报, 2025, 54(6): 982-994.
Qianxin WANG, Chao HU, Tong CHENG. A method for satellite ultra-rapid orbit and clock offset estimation based on the prior information of the GNSS clock parameters[J]. Acta Geodaetica et Cartographica Sinica, 2025, 54(6): 982-994.
| [1] |
胡超, 王潜心. 顾及BDS-3星钟约束的GNSS超快速轨道钟差解算方法[J]. 测绘学报, 2024, 53(3): 413-424. DOI: .
doi: 10.11947/j.AGCS.2024.20240112 |
|
HU Chao, WANG Qianxin. GNSS ultra-rapid orbit and clock offset estimation method with the aid of the constraint of BDS-3 onboard clock[J]. Acta Geodaetica et Cartographica Sinica, 2024, 53(3): 413-424. DOI: .
doi: 10.11947/j.AGCS.2024.20240112 |
|
| [2] | LI Xingxing, WANG Qingyun, WU Jiaqi, et al. Multi-GNSS products and services at iGMAS Wuhan Innovation Application Center: strategy and evaluation[J]. Satellite Navigation, 2022, 3(1): 20. |
| [3] |
李星星, 张伟, 袁勇强, 等. GNSS卫星精密定轨综述:现状、挑战与机遇[J]. 测绘学报, 2022, 51(7): 1271-1293. DOI: .
doi: 10.11947/j.AGCS.2022.20220173 |
|
LI Xingxing, ZHANG Wei, YUAN Yongqiang, et al. Review of GNSS precise orbit determination: status, challenges, and opportunities[J]. Acta Geodaetica et Cartographica Sinica, 2022, 51(7): 1271-1293. DOI: .
doi: 10.11947/j.AGCS.2022.20220173 |
|
| [4] | GUO Jing, WANG Chen, CHEN Guo, et al. BDS-3 precise orbit and clock solution at Wuhan University: status and improvement[J]. Journal of Geodesy, 2023, 97(2): 15. |
| [5] | CHOI K, RAY J, GRIFFITHS J, et al. Evaluation of GPS orbit prediction strategies for the IGS ultra-rapid products[J]. GPS Solutions, 2011, 17(3): 403-412. |
| [6] |
胡超, 王潜心. 顾及BDS-3/GNSS星钟状态的超快速钟差参数估计模型[J]. 测绘学报, 2024, 53(12): 2268-2281. DOI: .
doi: 10.11947/j.AGCS.2024.20230168 |
|
HU Chao, WANG Qianxin. BDS-3/GNSS satellite ultra-rapid clock offsets estimation model with the aid of onboard clock states solution[J]. Acta Geodaetica et Cartographica Sinica, 2024, 53(12): 2268-2281. DOI: .
doi: 10.11947/j.AGCS.2024.20230168 |
|
| [7] |
陈康慷, 徐天河, 杨玉国, 等. iGMAS GNSS钟差产品综合与评估[J]. 测绘学报, 2016, 45(S2): 46-53. DOI: .
doi: 10.11947/j.AGCS.2016.F025 |
|
CHEN Kangkang, XU Tianhe, YANG Yuguo, et al. Combination and assessment of GNSS clock products from iGMAS analysis centers[J]. Acta Geodaeticaet et Cartographica Sinica, 2016, 45(S2): 46-53. DOI: .
doi: 10.11947/j.AGCS.2016.F025 |
|
| [8] | 杨元喜, 任夏, 贾小林, 等. 以北斗系统为核心的国家安全PNT体系发展趋势[J]. 中国科学:地球科学, 2023, 53(5): 917-927. |
| YANG Yuanxi, REN Xia, JIA Xiaolin, et al. Development trends of the national secure PNT system based on BDS[J]. Science China Earth Sciences, 2023, 53(5): 917-927. | |
| [9] | ZENG Ping, ZHANG Zhetao, WEN Yuanlan, et al. Properties of multi-GNSS uncalibrated phase delays with considering satellite systems, receiver types, and network scales[J]. Satellite Navigation, 2023, 4(1): 19. |
| [10] | 李博峰, 苗维凯, 陈广鄂. 多频多模GNSS高精度定位关键技术与挑战[J]. 武汉大学学报(信息科学版), 2023, 48(11): 1769-1783. |
| LI Bofeng, MIAO Weikai, CHEN Guang'e. Key technologies and challenges of multi-frequency and multi-GNSS high-precision positioning[J]. Geomatics and Information Science of Wuhan University, 2023, 48(11): 1769-1783. | |
| [11] | CAO Xinyun, KUANG Kaifa, GE Yulong, et al. An efficient method for undifferenced BDS-2/BDS-3 high-rate clock estimation[J]. GPS Solutions, 2022, 26(3): 66. |
| [12] | LI Xingxing, LI Yuhao, XIONG Yun, et al. An efficient strategy for multi-GNSS real-time clock estimation based on the undifferenced method[J]. GPS Solutions, 2022, 27(1): 23. |
| [13] | GE Maorong, CHEN Junping, DOUŠA J, et al. A computationally efficient approach for estimating high-rate satellite clock corrections in realtime[J]. GPS Solutions, 2012, 16(1): 9-17. |
| [14] | BLEWITT G. Fixed point theorems of GPS carrier phase ambiguity resolution and their application to massive network processing: ambizap[J]. Journal of Geophysical Research, 2008, 113, B12410. |
| [15] | FU Wenju, CHEN Ruizhi, CUI Yulu. A computationally efficient prior quality control approach for multi-GNSS real-time satellite clock estimation[J]. GPS Solutions, 2023, 27(4): 177. |
| [16] | GONG Xiaopeng, GU Shengfeng, LOU Yidong, et al. An efficient solution of real-time data processing for multi-GNSS network[J]. Journal of Geodesy, 2018, 92(7): 797-809. |
| [17] | MACIUK K, LEWISKA P. High-rate monitoring of satellite clocks using two methods of averaging time[J]. Remote Sensing, 2019, 11(23): 2754. |
| [18] | QING Yun, LOU Yidong, DAI Xiaolei, et al. Benefits of satellite clock modeling in BDS and Galileo orbit determination[J]. Advances in Space Research, 2017, 60(12): 2550-2560. |
| [19] |
袁运斌, 刘帅, 潭冰峰. 基于钟差解耦的GNSS精密单点定位模糊度固定模型及效果分析[J]. 测绘学报, 2022, 51(8): 1669-1679. DOI: .
doi: 10.11947/j.AGCS.2022.20210554 |
|
YUAN Yunbin, LIU Shuai, TAN Bingfeng. Modeling and effects analysis of GNSS precise point positioning ambiguity resolution based on the decoupled clock method[J]. Acta Geodaetica et Cartographica Sinica, 2022, 51(8): 1669-1679. DOI: .
doi: 10.11947/j.AGCS.2022.20210554 |
|
| [20] | WANG Kan, EL-MOWAFY A, YANG Xuhai. LEO satellite clock modeling and its benefits for LEO kinematic POD[J]. Remote Sensing, 2023, 15(12): 3149. |
| [21] |
曲伟菁, 黄勇, 徐君毅, 等. 星地SLR和星间链路的BDS-3卫星精密定轨[J]. 测绘学报, 2023, 52(9): 1437-1448. DOI: .
doi: 10.11947/j.AGCS.2023.20220558 |
|
QU Weijing, HUANG Yong, XU Junyi, et al. Precise orbit determination using satellite laser ranging and inter-satellite link observations for BDS-3 satellites[J]. Acta Geodaetica et Cartographica Sinica, 2023, 52(9): 1437-1448. DOI: .
doi: 10.11947/j.AGCS.2023.20220558 |
|
| [22] | FENG Baoxin, LI Haojun, DING Huimin, et al. Improved service method and its positioning performance of the Galileo satellite clock correction[J]. Advances in Space Research, 2023, 71(10): 4045-4054. |
| [23] | XUE Huijie, NIE Wenfeng, XU Tianhe, et al. Establishment of iGMAST based on spaceborne atomic clocks by optimizing Kalman plus weights algorithm[J]. Measurement, 2022, 203: 111998. |
| [24] |
杨宇飞, 杨元喜, 陈金平, 等. 北斗三号星座拟稳钟差测定及其预报[J]. 测绘学报, 2021, 50(12): 1728-1737. DOI: .
doi: 10.11947/j.AGCS.2021.20210084 |
|
YANG Yufei, YANG Yuanxi, CHEN Jinping, et al. Pseudo-stable constellation bias error of BDS-3 and its high-precision prediction[J]. Acta Geodaetica et Cartographica Sinica, 2021, 50(12): 1728-1737. DOI: .
doi: 10.11947/j.AGCS.2021.20210084 |
|
| [25] | YANG Yang, YUE Xiaokui, YUAN Jianping, et al. Enhancing the kinematic precise orbit determination of low earth orbiters using GPS receiver clock modelling[J]. Advances in Space Research, 2014, 54(9): 1901-1912. |
| [26] | PENG Yaquan, LOU Yidong, GONG Xiaopeng, et al. Real-time clock prediction of multi-GNSS satellites and its application in precise point positioning[J]. Advances in Space Research, 2019, 64(7): 1445-1454. |
| [27] | GU Shengfeng, MAO Feiyu, GONG Xiaopeng, et al. Improved short-term stability for real-time GNSS satellite clock estimation with clock model[J]. Journal of Geodesy, 2023, 97(6): 61. |
| [28] | LOU Yidong, DAI Xiaolei, GONG Xiaopeng, et al. A review of real-time multi-GNSS precise orbit determination based on the filter method[J]. Satellite Navigation, 2022, 3(1): 15. |
| [29] | DAI Xiaolei, LOU Yidong, DAI Zhiqiang, et al. Precise orbit determination for GNSS maneuvering satellite with the constraint of a predicted clock[J]. Remote Sensing, 2019, 11(16): 1949. |
| [30] | SHI Chuang, GUO Shiwei, GU Shengfeng, et al. Multi-GNSS satellite clock estimation constrained with oscillator noise model in the existence of data discontinuity[J]. Journal of Geodesy, 2019, 93(4): 515-528. |
| [31] | CHANG Guobin, XU Tianhe, YAO Yifei, et al. Ionospheric delay prediction based on online polynomial modeling for real-time cycle slip repair of undifferenced triple-frequency GNSS signals[J]. Measurement, 2019, 146: 289-297. |
| [32] | 陈俊平, 周建华, 严宇, 等. GNSS数据处理时空参数的相关性[J]. 武汉大学学报(信息科学版), 2017, 42(11): 1649-1657. |
| CHEN Junping, ZHOU Jianhua, YAN Yu, et al. Correlation of spatial and temporal parameters in GNSS data analysis[J]. Geomatics and Information Science of Wuhan University, 2017, 42(11): 1649-1657. | |
| [33] |
毛悦, 宋小勇, 张清华, 等. BDS-3卫星钟在轨性能评估与分析[J]. 测绘学报, 2023, 52(3): 349-356. DOI: .
doi: 10.11947/j.AGCS.2023.20220100 |
|
MAO Yue, SONG Xiaoyong, ZHANG Qinghua, et al. Performance evaluation and comparison of on-orbit satellite clocks for BDS-3[J]. Acta Geodaetica et Cartographica Sinica, 2023, 52(3): 349-356. DOI: .
doi: 10.11947/j.AGCS.2023.20220100 |
| [1] | 沈洋, 李广云, 陈明剑, 李林阳, 施星宇, 蔡巍, 郝卫峰. 基于风云三号TEC的极区GNSS电离层模型精度评估[J]. 测绘学报, 2025, 54(6): 995-1008. |
| [2] | 胡顺强, 陈克杰, 贺小星, 朱海, 王坦. 环境负载对川滇地区GNSS观测站三维坐标时间序列非线性变化的影响[J]. 测绘学报, 2025, 54(5): 805-818. |
| [3] | 杨文涛, 郭斐, 张小红, 张治宇, 朱逸凡, 李政, 吴子恒. 利用GNSS反射计和SMAP辐射计反演青藏高原土壤湿度和冻融状态[J]. 测绘学报, 2025, 54(4): 725-735. |
| [4] | 刘学习, 朱守庆, 陈国, 张克非, 郑南山, 刘婧璇. 基于全球统一坐标框架的GNSS精密轨道与钟差产品一致性分析[J]. 测绘学报, 2025, 54(3): 432-447. |
| [5] | 路阳阳, 祝会忠, 李博, 李军, 徐爱功. IFCB时变特性约束的多频GPS/Galileo/BDS-3的PPP算法[J]. 测绘学报, 2025, 54(2): 233-247. |
| [6] | 朱冀星, 薛树强, 李保金, 肖圳, 王凯明. GNSS-声呐观测反演双指数温度剖面[J]. 测绘学报, 2025, 54(2): 286-296. |
| [7] | 杨飞, 汪莹莹, 李志才, 余博尧, 武军郦, 曹云昌, 张澍. 基于GNSS观测的2023北京特大暴雨分析[J]. 测绘学报, 2025, 54(1): 14-25. |
| [8] | 罗亚荣, 郭迟, 欧阳威, 刘经南. 顾及零偏几何性质的GNSS/SINS组合导航方法[J]. 测绘学报, 2025, 54(1): 26-39. |
| [9] | 曹正阳, 张华祖, 赵紫龙, 齐恒, 唐炉亮. 耦合公众车载影像与GNSS轨迹的精细道路信息众包提取方法[J]. 测绘学报, 2025, 54(1): 194-205. |
| [10] | 赵东升, 张雪礼, 崔双雷, 王潜心, 李冠青, 李龙江, 李宸栋, 张克非. 基于ROTI和AATR的测地型GNSS接收机监测北半球高纬度区域电离层闪烁准确性分析[J]. 测绘学报, 2024, 53(7): 1251-1264. |
| [11] | 布金伟, 余科根, 汪秋兰, 李玲惠, 刘馨雨, 左小清, 常军. 融合星载GNSS-R数据和多变量参数全球海洋有效波高深度学习反演法[J]. 测绘学报, 2024, 53(7): 1321-1335. |
| [12] | 鲁铁定, 李祯. 顾及地球物理效应的GNSS高程时间序列AdaBoost预测和插值方法[J]. 测绘学报, 2024, 53(6): 1077-1085. |
| [13] | 许豪, 张勤, 王利, 舒宝, 杜源, 黄观文. 无人机抛投式GNSS滑坡监测设备智能化部署选址方法[J]. 测绘学报, 2024, 53(6): 1140-1153. |
| [14] | 杨兴海, 袁林果, 姜中山, 汤苗. 联合GNSS与GRACE/GRACE-FO数据反演中国西南地区陆地水储量变化[J]. 测绘学报, 2024, 53(5): 813-822. |
| [15] | 周苍海, 田镇, 石震, 托坎哈衣那尔·. 时序InSAR与GNSS联合约束下的亚东-谷露断裂运动特征[J]. 测绘学报, 2024, 53(5): 933-945. |
| 阅读次数 | ||||||
|
全文 |
|
|||||
|
摘要 |
|
|||||